Останнє оновлення :
27/01/2026
Протигрибковий   Anidulafungin  
ін'єкція
Стійкість в розчинах Стійкість сумішей Фактори, що впливають на стабільність Сумісність Шлях введення Список літератури pdf
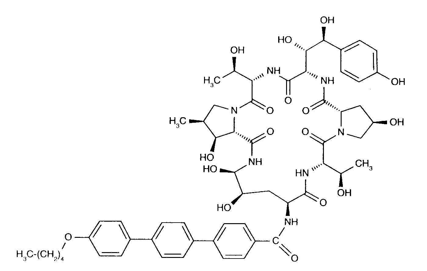
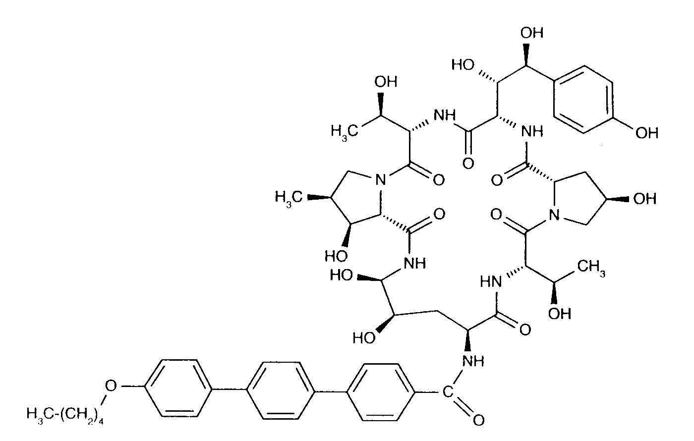
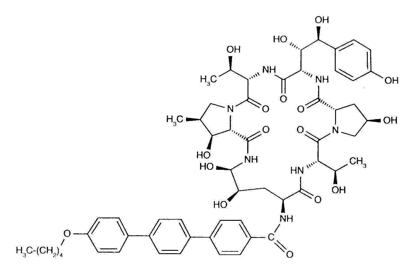
   Хімічна структура  

Торгова назва   Торгова назва     

Торгові назви є орієнтовними, а склад допоміжних речовин може бути різним залежно від країни та виробника

Anidulafungin Бельгія, Великобританія, Німеччина
Anidulafungina Іспанія, Бразилія
Ecalta Іспанія, Італія, Аргентина, Бельгія, Бразилія, Великобританія, Венесуела, Греція, Данія, Канада, Колумбія, Люксембург, Малайзія, Нідерланди, Німеччина, Норвегія, Перу, Польща, Румунія, Сполучені Штати Америки, Туреччина, Угорщина, Фінляндія, Франція, Чилі, Швейцарія, Швеція
Equalta Мексика
Eraxis Австралія, Канада, Сполучені Штати Америки
Fuzig Мексика
Стійкість в розчинах   ін'єкція   Стійкість в розчинах : Anidulafungin     
Контейнер Розчинник Концентрація температура Зберігання Тривалість стабільності Список літератури
скло Вода для ін'єкцій 3.33 mg/ml 25°C Не визначено
24 годину
3567
Дані виробника про стабільність

Не визначено Натрію хлорид 0,9% 0.77 mg/ml 25°C Не визначено
48 годину
3567
Дані виробника про стабільність

Не визначено Глюкоза 5% 0.77 mg/ml 25°C Не визначено
48 годину
3567
Дані виробника про стабільність


  Mentions Légales