Последно актуализиране :
27/01/2026
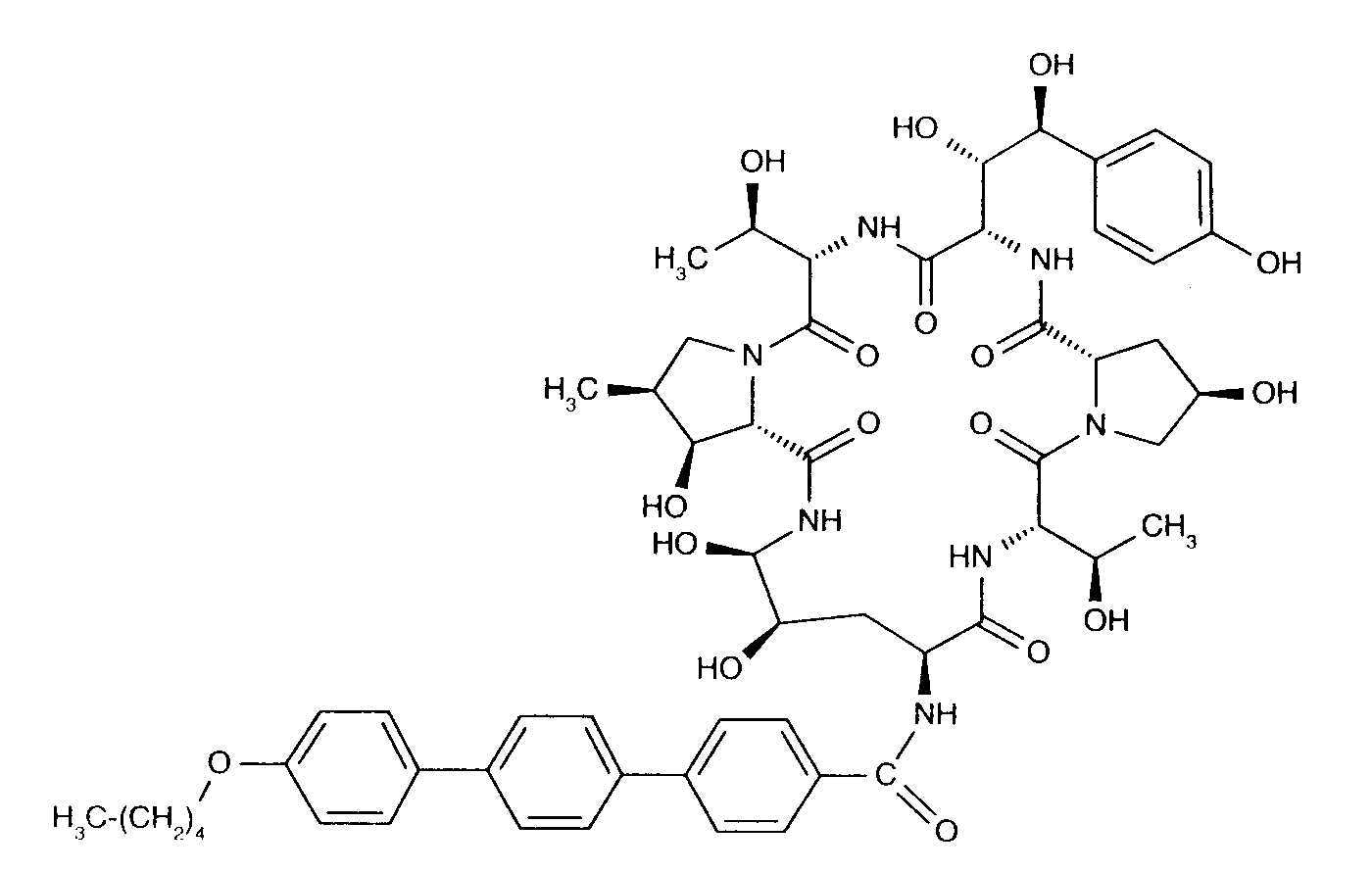
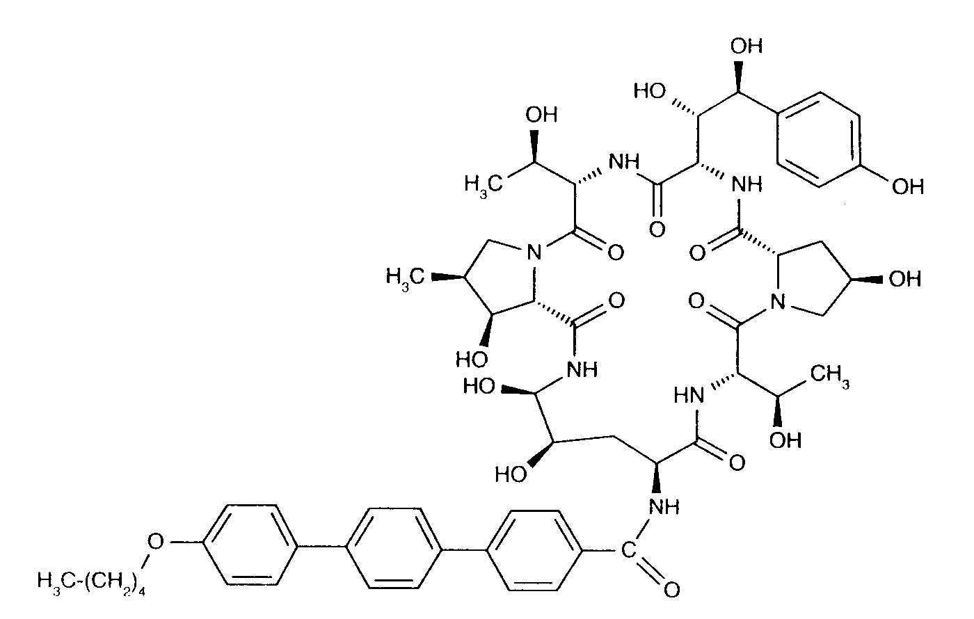
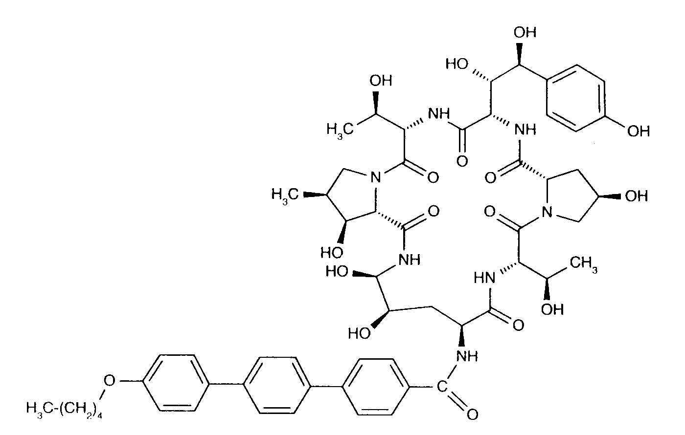
Противогъбично средство   Anidulafungin  
Инжекция/Инжекционен
Стабилност на разтвори Стабилност на смеси Фактори, повлияващи стабилността Съвместимост Път на въвеждане Библиография Pdf
   Химична структура  

Търговско наименование   Търговско наименование     

Търговските имена са примерни и съставът на помощните вещества може да бъде различен в зависимост от държавата и лабораториите

Anidulafungin Белгия, Великобритания, Германия
Anidulafungina Бразилия, Испания
Ecalta Аржентина, Белгия, Бразилия, Великобритания, Венецуела, Германия, Гърция, Дания, Испания, Италия, Канада, Колумбия, Люксенбург, Малайзия, Норвегия, Перу, Полша, Румъния, Съединени Американски щати / САЩ, Турция, Унгария, Финландия, Франция, Холандия, Чили, Швейцария, Швеция
Equalta Мексико
Eraxis Австралия, Канада, Съединени Американски щати / САЩ
Fuzig Мексико
Стабилност на разтвори   Инжекция/Инжекционен   Стабилност на разтвори : Anidulafungin     
Контейнер Разтворител Концентрация Температура Съхранение Продължителност на стабилността Библиография
Стъкло Вода за инжекции 3.33 mg/ml 25°C Не е уточнено
24 Час
3567
Данни за стабилност на производителя

Не е уточнено Sodium chloride 0,9% 0.77 mg/ml 25°C Не е уточнено
48 Час
3567
Данни за стабилност на производителя

Не е уточнено Glucose 5% 0.77 mg/ml 25°C Не е уточнено
48 Час
3567
Данни за стабилност на производителя


  Mentions Légales