Last update :
27/01/2026
Antifungal   Anidulafungin  
injection
Stability in solutions Stability of mixtures Factors which affect stability Compatibility Route of administration References pdf
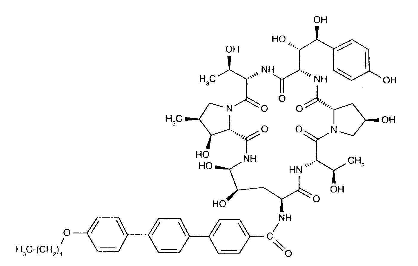
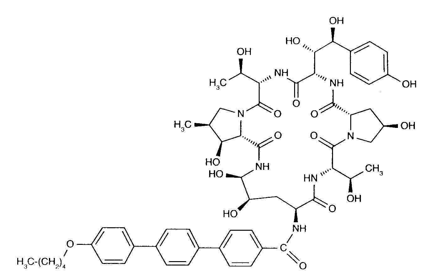
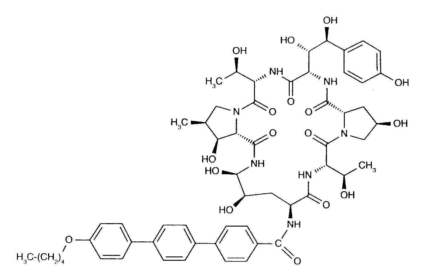
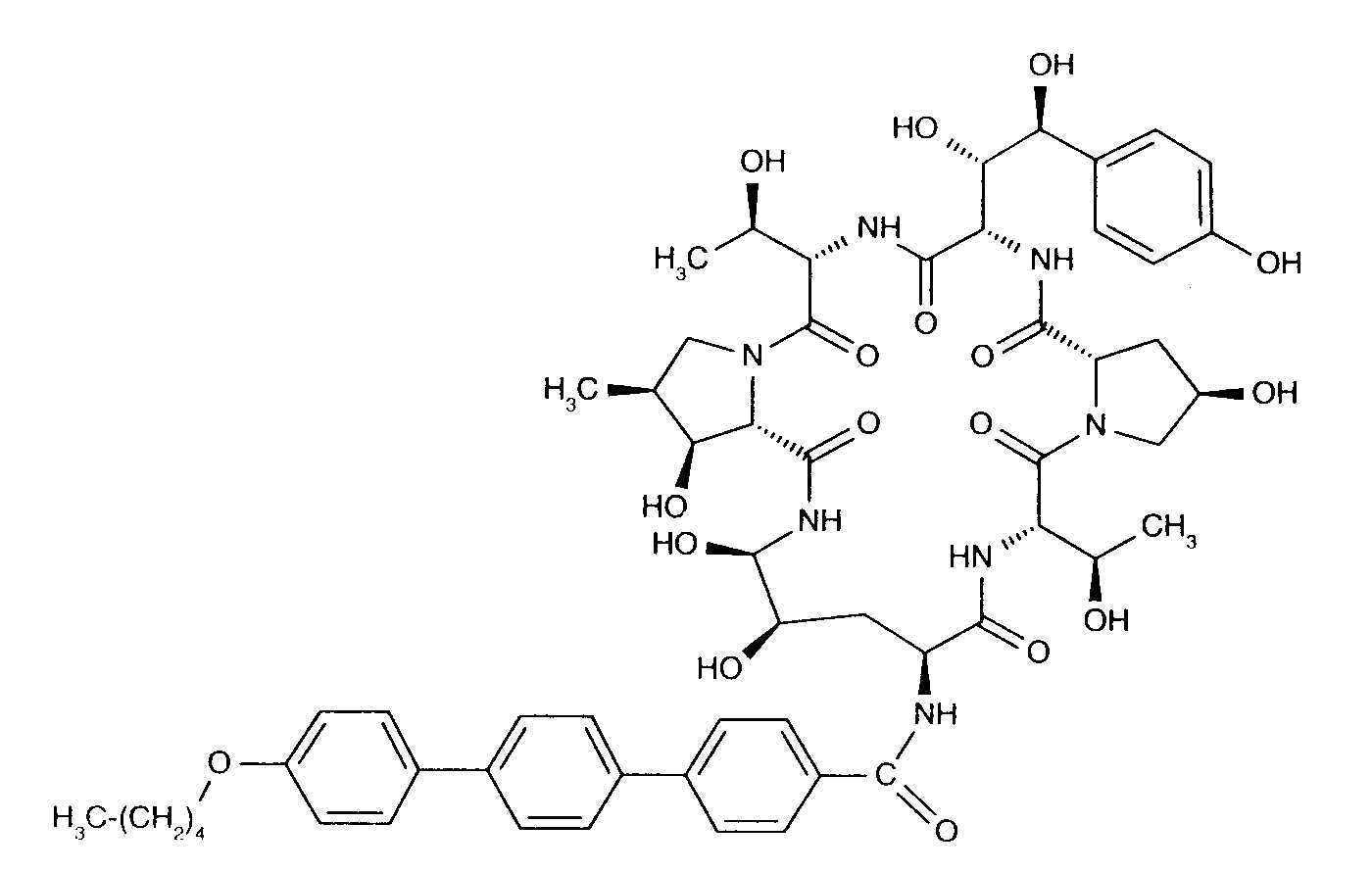
   Chemical structure  

Tradename   Tradename     

Trade names are indicative and excipients composition can be different depending on the country and manufacturers

Anidulafungin Belgium, Germany, Great Britain
Anidulafungina Brazil, Spain
Ecalta Argentina, Belgium, Brazil, Canada, Chile, Colombia, Denmark, Finland, France, Germany, Great Britain, Greece, Hungary, Italy, Luxembourg, Malaysia, Netherlands, Norway, Peru, Poland, Romania, Spain, Sweden, Switzerland, Turkey, United States of America, Venezuela
Equalta Mexico
Eraxis Australia, Canada, United States of America
Fuzig Mexico
Stability in solutions   injection   Stability in solutions : Anidulafungin     
Container Solvent Concentration Temperature Storage Duration of stability References
Glass Water for Injection 3.33 mg/ml 25°C Not specified
24 Hour
3567
Manufacturer's stability data

Not specified Sodium chloride 0,9% 0.77 mg/ml 25°C Not specified
48 Hour
3567
Manufacturer's stability data

Not specified Glucose 5% 0.77 mg/ml 25°C Not specified
48 Hour
3567
Manufacturer's stability data


  Mentions Légales