|
|
Nombre comercial |
|
|
Los nombres comerciales son orientativos y los excipientes de la formulación pueden ser distintos dependiendo del país y del laboratorio fabricante.
|
|
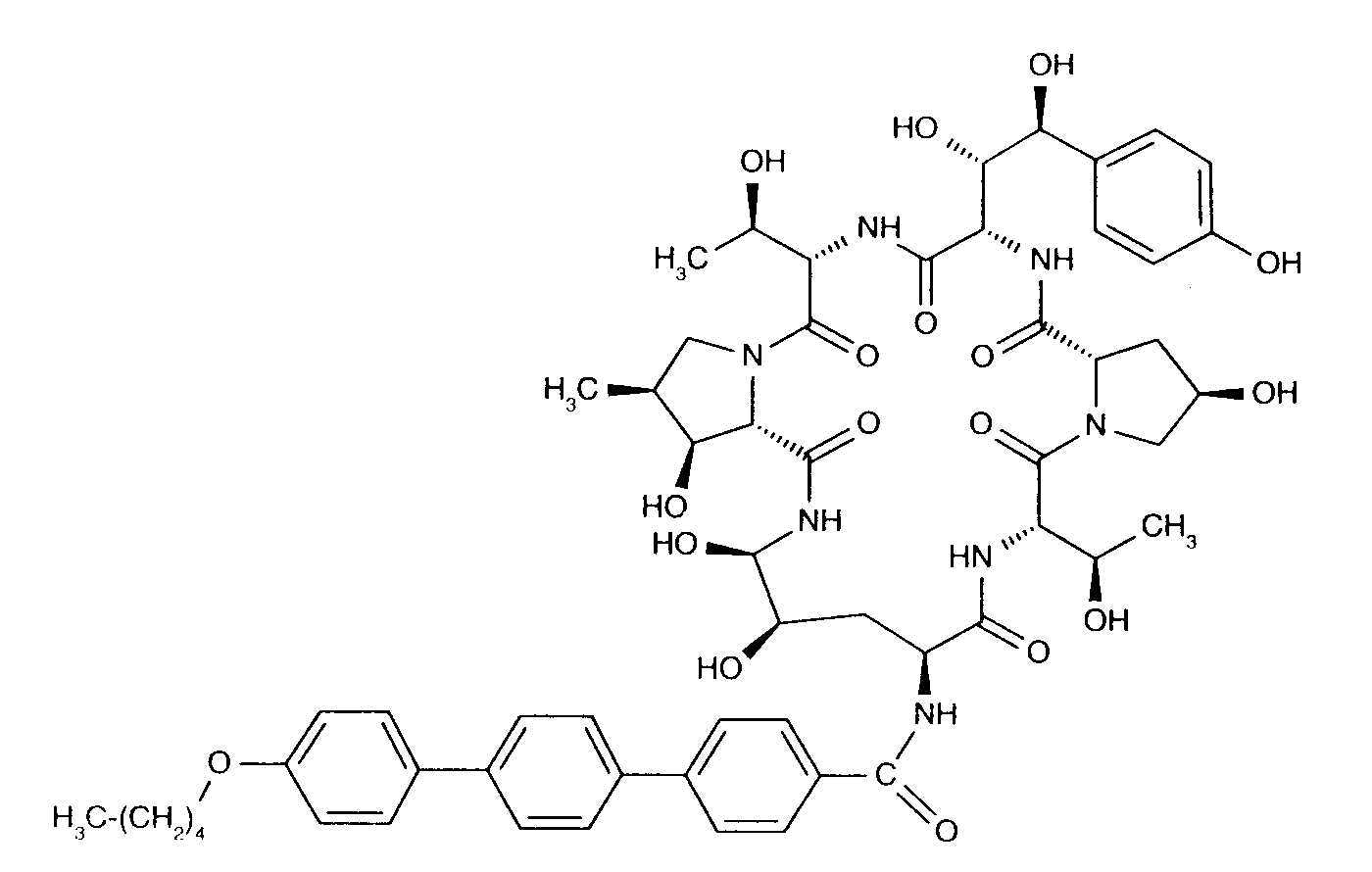
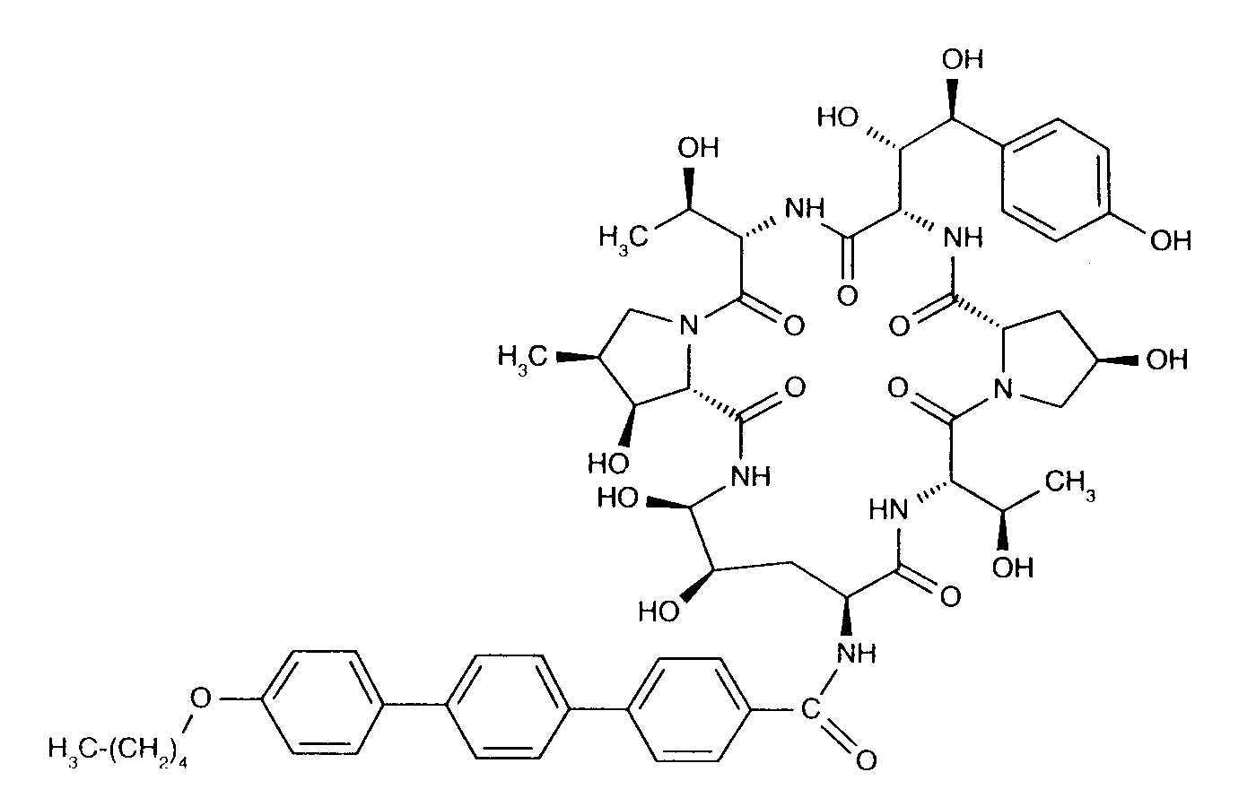
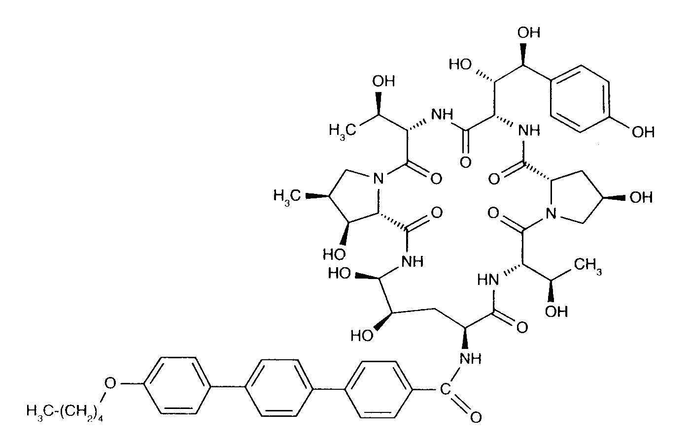
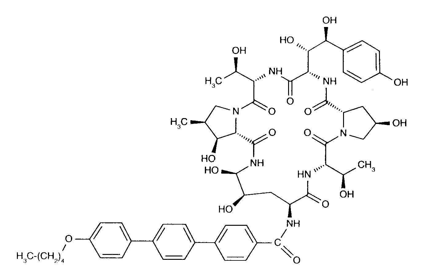
Anidulafungin |
Alemania, Bélgica, Gran Bretaña |
|
Anidulafungina |
Brasil, España |
|
Ecalta |
Alemania, Argentina, Bélgica, Brasil, Canadá, Chile, Colombia, Dinamarca, España, Estados Unidos de América, Finlandia, Francia, Gran Bretaña, Grecia, Hungría, Italia, Luxemburgo, Malasia, Marruecos, Noruega, Países Bajos, Polonia, Rumania, Suecia, Suiza, Turquía, Venezuela |
|
Equalta |
México |
|
Eraxis |
Australia, Canadá, Estados Unidos de América |
|
Fuzig |
México |
|
|