Última actualização :
27/01/2026
Antifúngico   Anidulafungin  
injetável
Estabilidade em soluções simples Estabilidade em misturas Factores que afectam a sua estabilidade Compatibilidade Método de administração Bibliografía pdf
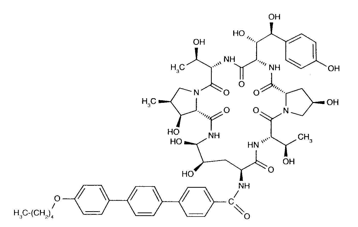
   estrutura química  

Nomes comerciais nos diversos países   Nomes comerciais nos diversos países     

OS NOMES COMERCIAIS SÃO INDICATIVOS E OS EXCIPIENTES DA FORMULAÇÃO PODEM SER DIFERENTES CONFORME O PAÍS E FABRICANTE.

Anidulafungin Alemanha, Bélgica, Gran-bretanha
Anidulafungina Brasil, Espanha
Ecalta Alemanha, Argentina, Bélgica, Brasil, Canadá, Chilli, Colômbia, Dinamarca, Espanha, Estados Unidos de América, Finlandia, França, Gran-bretanha, Grècia, Hungria, Itália, Luxemburgo, Malásia, Noruega, Países Baixos, Peru, Polonia, Romènia, Suècia, Suicia, Turquia, Venezuela
Equalta México
Eraxis Australia, Canadá, Estados Unidos de América
Fuzig México
Estabilidade em soluções simples   injetável   Estabilidade em soluções simples : Anidulafungin     
Embalagem Solvente concentração temperatura conservação Duração da estabilidade Bibliografia
vidro Agua para injectaveis 3.33 mg/ml 25°C no especificado
24 hora
3567
Dados estabilidade do fabricante

no especificado cloreto de sódio 0,9% 0.77 mg/ml 25°C no especificado
48 hora
3567
Dados estabilidade do fabricante

no especificado Glucose 5% 0.77 mg/ml 25°C no especificado
48 hora
3567
Dados estabilidade do fabricante


  Mentions Légales