|
|
Nazwa handlowa |
|
|
Trade names are indicative and excipients composition can be different depending on the country and manufacturers
|
|
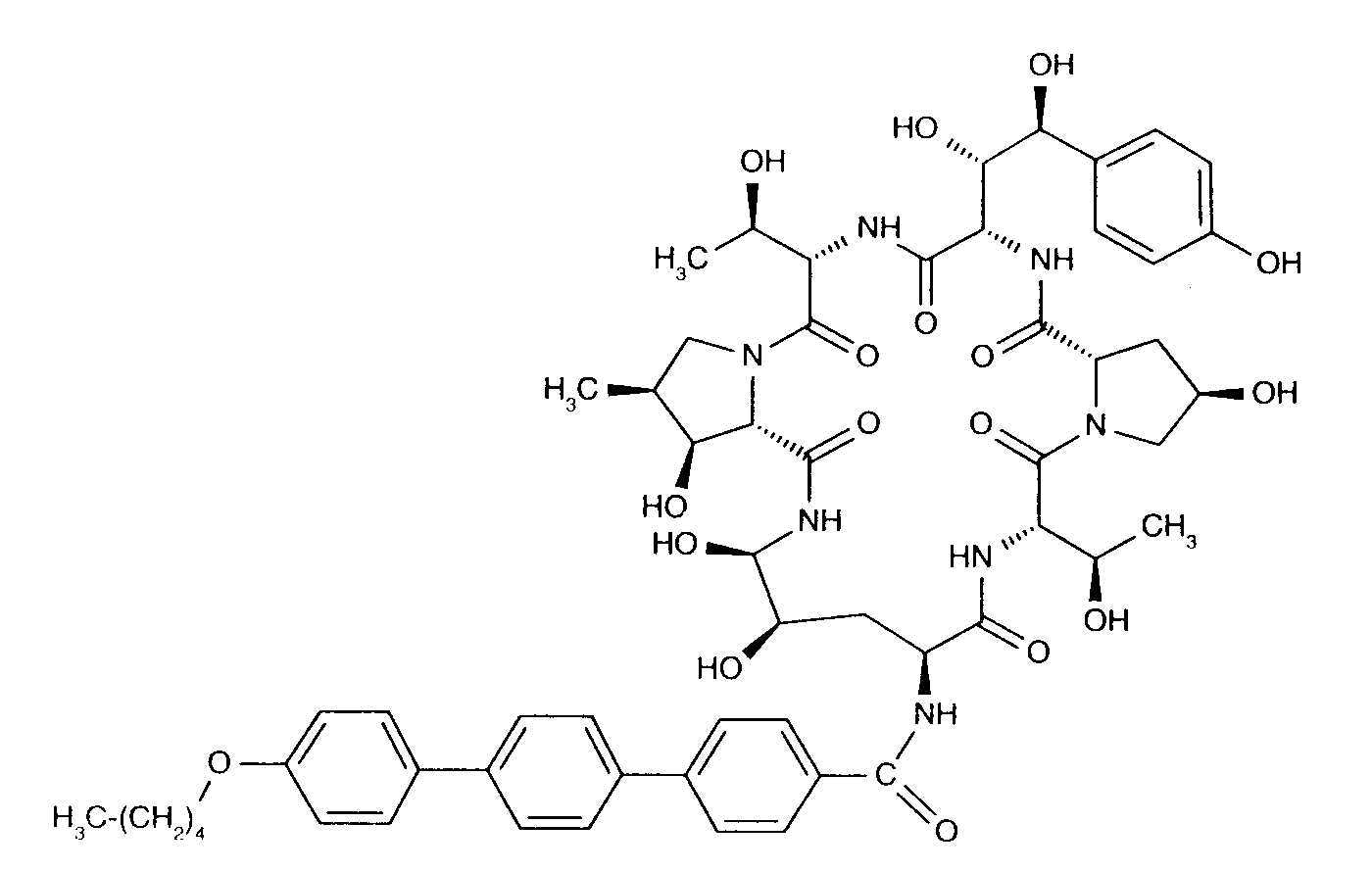
Anidulafungin |
Belgia, Niemcy, Wielka Brytania |
|
Anidulafungina |
Brazylia, Hiszpania |
|
Ecalta |
Argentyna, Belgia, Brazylia, Chile, Dania, Finlandia, Francja , Grecja, Hiszpania, Holandia, Kanada, KolumbiaKolumbia, Luksemburg, Malezja, Niemcy, Norwegia, Peru, Polska, Rumunia, Stany Zjednoczone Ameryki, Szwajcaria, Szwecja, Turcja, Węgry, Wenezuela, Wielka Brytania, Włochy |
|
Equalta |
Meksyk |
|
Eraxis |
Australia, Kanada, Stany Zjednoczone Ameryki |
|
Fuzig |
Meksyk |
|
|