Senaste uppdateringen :
27/01/2026
Antimykotikum   Anidulafungin  
injektion
Lösningars stabilitet Stabilitet i blandningar Faktorer som påverkar stabiliteten Kompatibilitet Administreringssätt Hänvisningar pdf
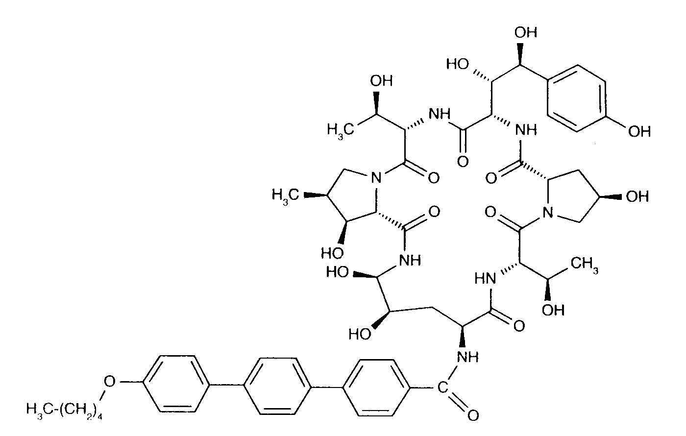
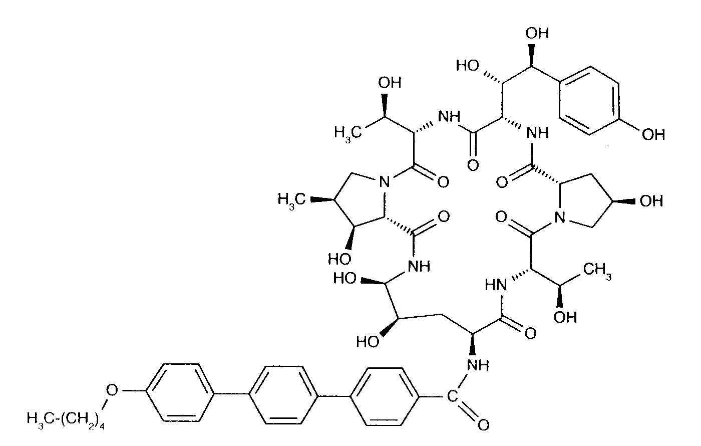
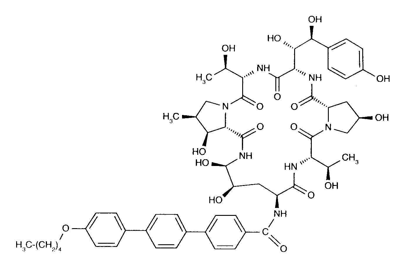
   Molekylstruktur  

Varunamn   Varunamn     

Angivna handelsnamn på läkemedel är enbart vägledande då formulering inklusive hjälpämnen kan variera mellan länder och tillverkare

Anidulafungin Belgien, Storbritannien, Tyskland
Anidulafungina Brasilien, Spanien
Ecalta Argentina, Belgien, Brasilien, Chile, Colombia, Danmark, Finland, Förenta Staterna, Frankrike, Grekland, Italien, Kanada, Luxemburg, Malaysia, Nederländerna, Norge, Peru, Polen, Rumänien, Schweiz, Spanien, Storbritannien, Sverige, Turkiet, Tyskland, Ungern, Venezuela
Equalta Mexiko
Eraxis Australien, Förenta Staterna, Kanada
Fuzig Mexiko
Lösningars stabilitet   injektion   Lösningars stabilitet : Anidulafungin     
Behållare Lösningsmedel Koncentration Temperatur Förvaring Stabilitets varaktighet Hänvisningar
Glas Vatten för injektion 3.33 mg/ml 25°C Ej angiven
24 Timma
3567
Tillverkarens stabilitetsuppgifter

Ej angiven Natriumklorid 0,9 % 0.77 mg/ml 25°C Ej angiven
48 Timma
3567
Tillverkarens stabilitetsuppgifter

Ej angiven Glukos 5 % 0.77 mg/ml 25°C Ej angiven
48 Timma
3567
Tillverkarens stabilitetsuppgifter


  Mentions Légales