Posledná aktualizácia :
27/01/2026
antimykotikum   Anidulafungin  
Injekcia
Stabilita roztokov Stabilita v zmesiach Faktory ovplyvňujúce stabilitu Kompatibility spôsob podania Odkazy na literatúru PDF
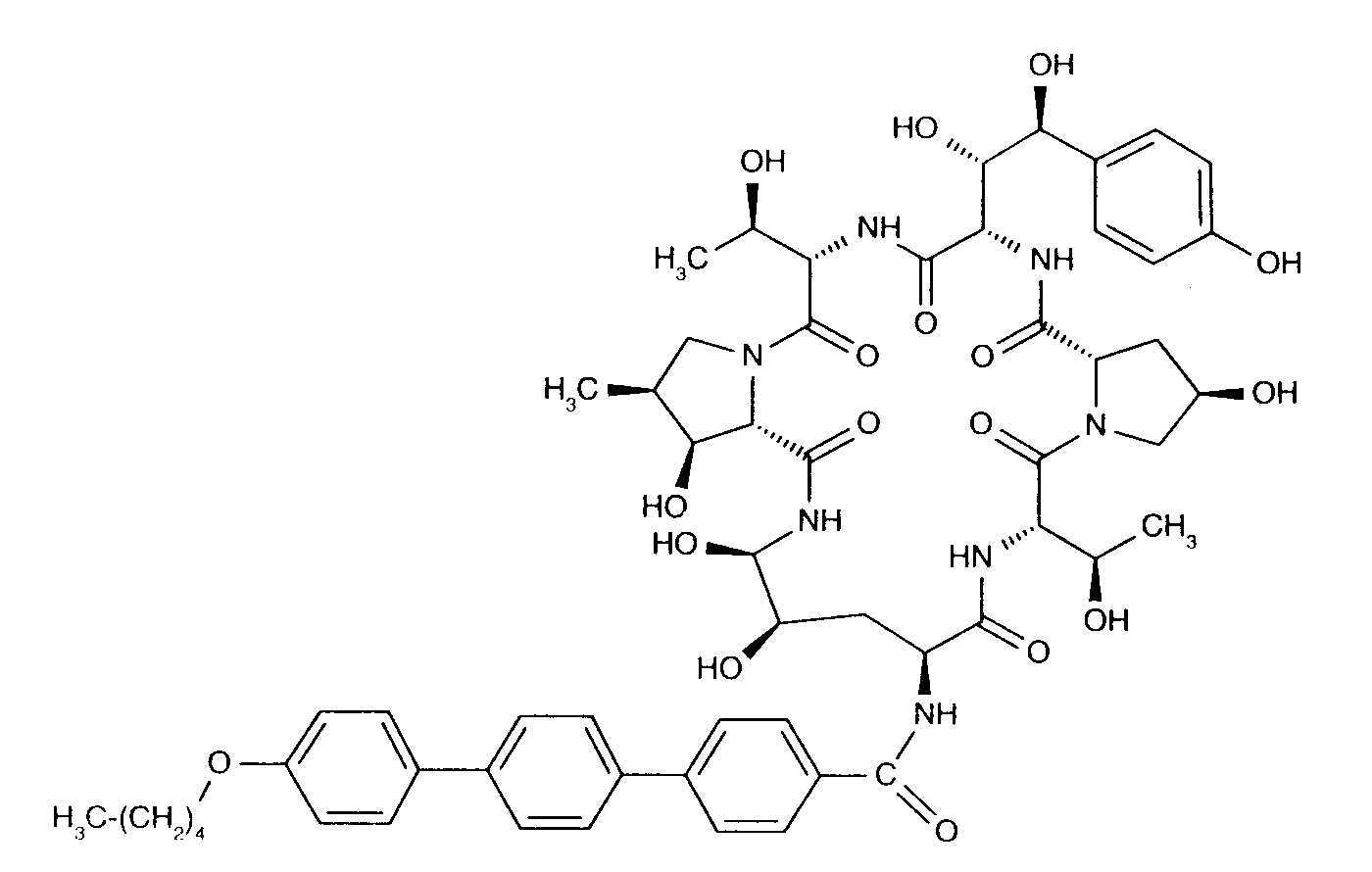
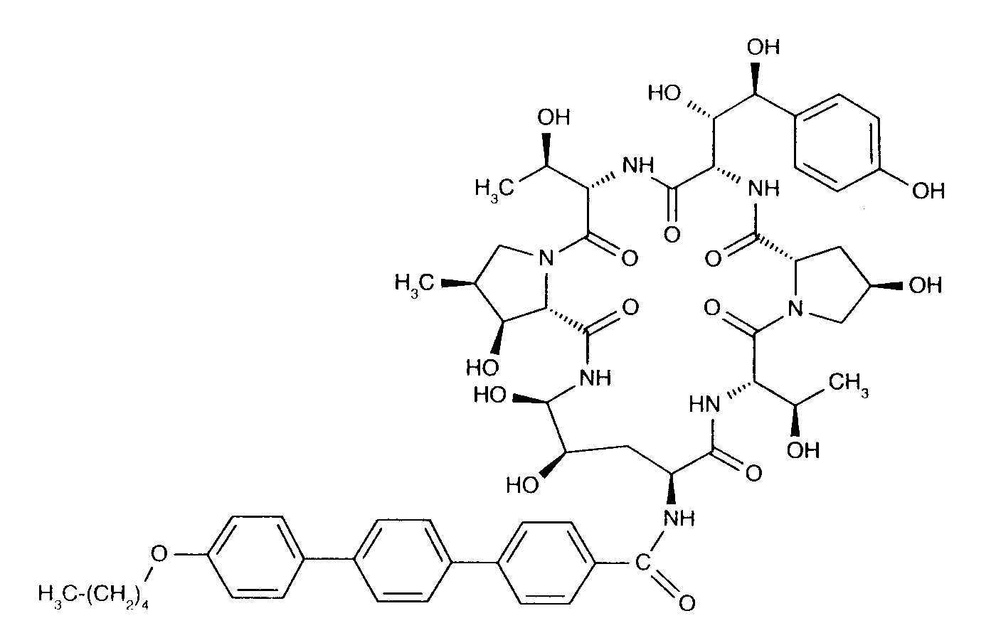
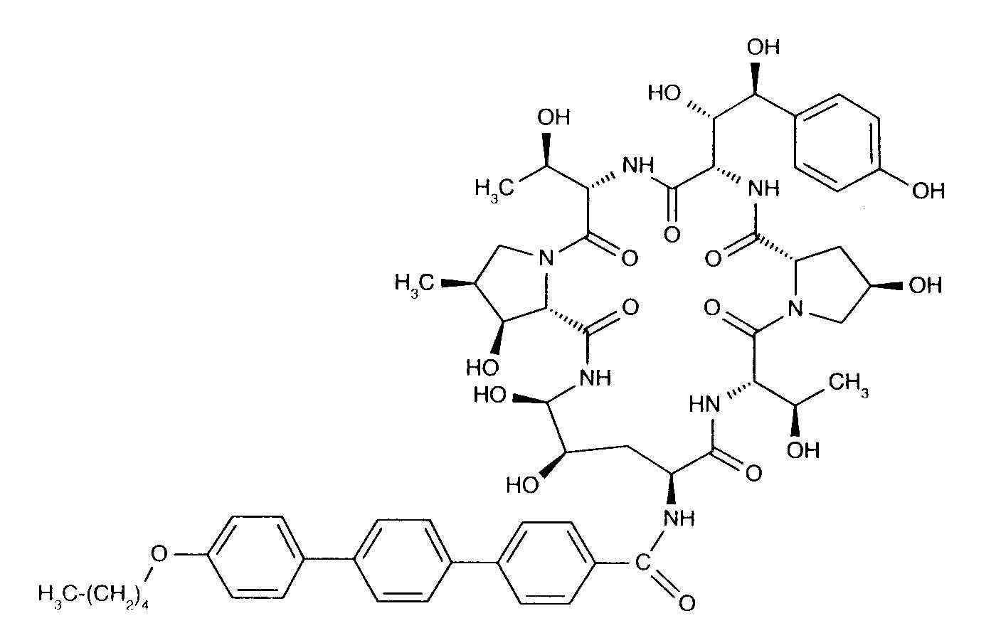
   Chemický vzorec  

Obchodný názov   Obchodný názov     

Obchodné názvy sú orientačné, a zloženie pomocných látok sa môže líšiť v závislosti od krajiny a výrobcu.

Anidulafungin Belgicko, Nemecko, Veľká Británia
Anidulafungina Brazília, Španielsko
Ecalta Argentína, Belgicko, Brazília, Čile, Dánsko, Fínsko, Francúzsko, Grécko, Holandsko, Kanada, Kolumbia, Luxembursko, Maďarsko, Malajzia, Nemecko, Nórsko, peru, Poľsko, Rumunsko, Španielsko, Spojené štáty Americké, Švajčiarsko, Švédsko, Taliansko, Turecko, Veľká Británia, Venezuela
Equalta Mexiko
Eraxis Austrália, Kanada, Spojené štáty Americké
Fuzig Mexiko
Stabilita roztokov   Injekcia   Stabilita roztokov : Anidulafungin     
obal rozpúšťadlo koncentrácia teplota uchovávanie Trvanie stability odkazy na lieteratúru
Sklo voda na injekciu 3.33 mg/ml 25°C nešpecifikované
24 hodín
3567
Údaje o stabilite od výrobcu

nešpecifikované 0,9% chlorid sodný 0.77 mg/ml 25°C nešpecifikované
48 hodín
3567
Údaje o stabilite od výrobcu

nešpecifikované 5% glukóza 0.77 mg/ml 25°C nešpecifikované
48 hodín
3567
Údaje o stabilite od výrobcu


  Mentions Légales