Zadnji put ažurirano :
27/01/2026
antifungicid   Anidulafungin  
injekcija
Stabilizacija rješenja Stabilnost mješavine Stabilizacijski faktor Kompatibilnosti način davanja lijeka Bibliografija pdf
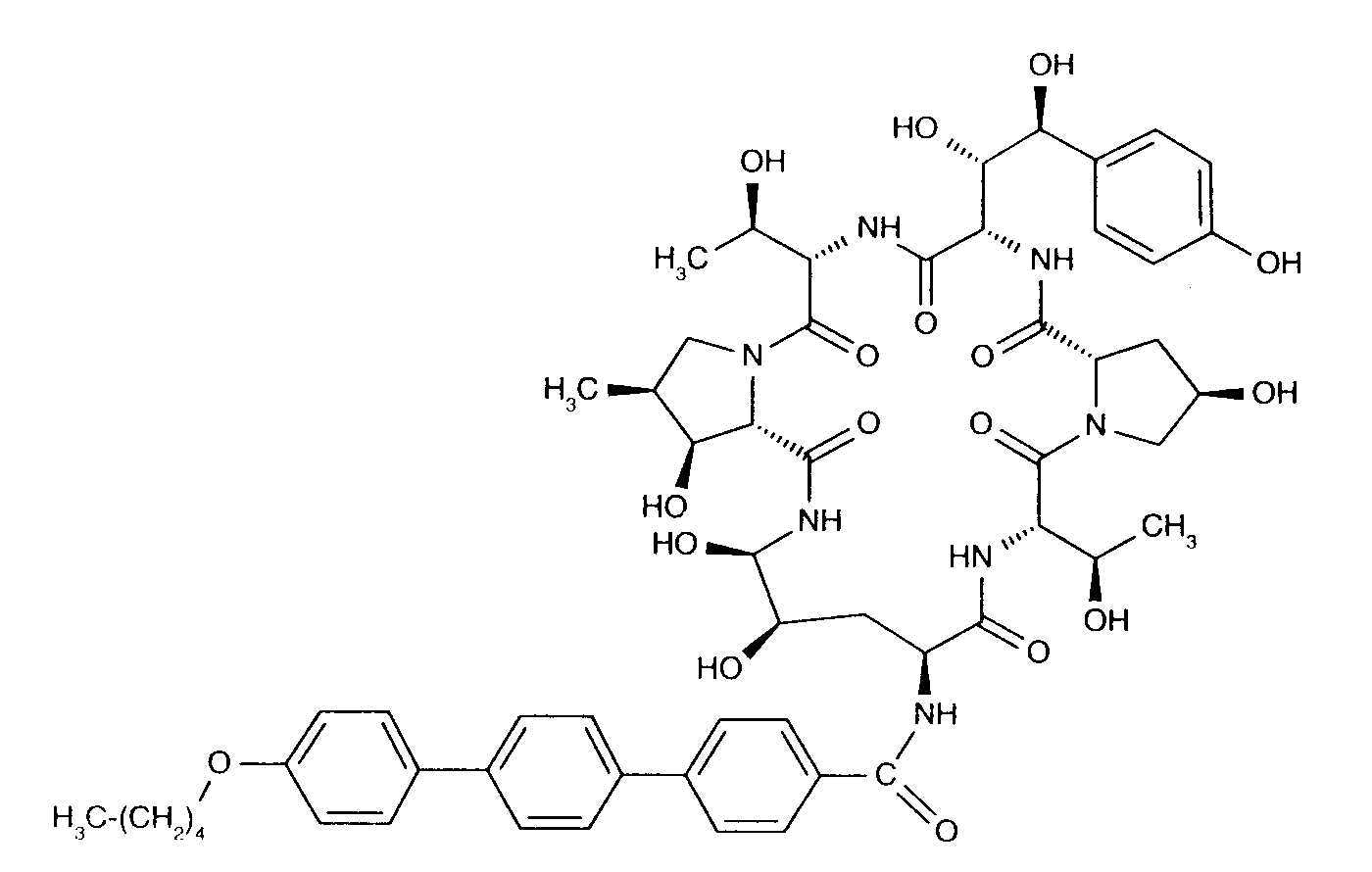
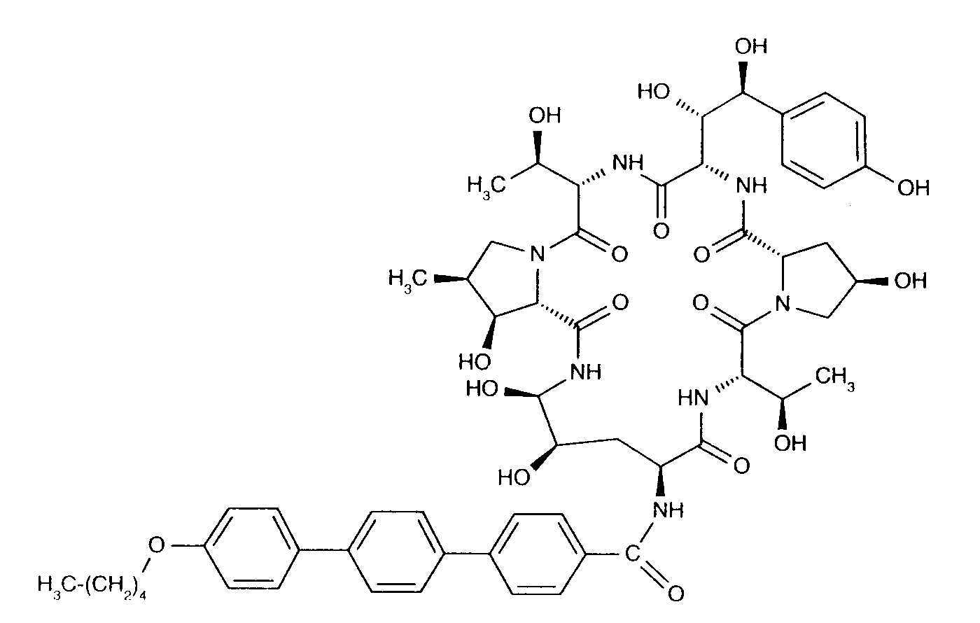
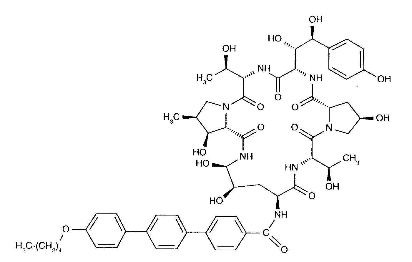
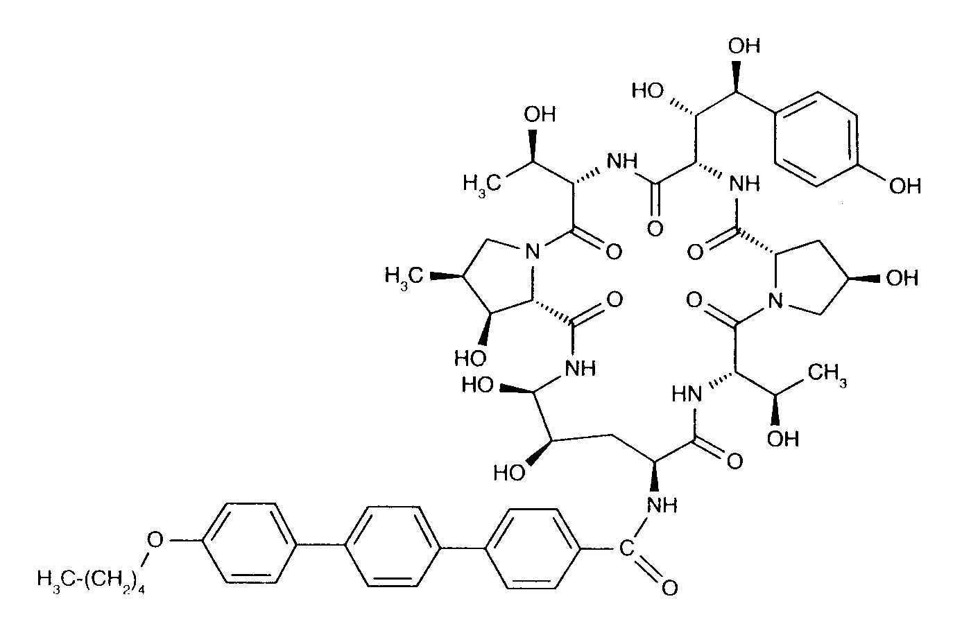
   Kemijska struktura  

Nekomercijalni   Nekomercijalni     

Zaštićeni nazivi su indikativni i sastav ekscipijensa može biti različit ovisno o državi i laboratorijima

Anidulafungin Belgija, Njemačka, Velika Britanija
Anidulafungina Brazil, Španjolska
Ecalta Argentina, Belgija, Brazil, Čile, Danska, Finska, Francuska, Grčka, Italija, Kanada, Kolumbija, Luksemburg, Madžarska, Malezija, Nizozemska, Njemačka, Norveška, Peru, Poljska, Rumunjska, S A D, Španjolska, Švedska, Švicarska, Turska, Velika Britanija, Venecuela
Equalta Meksiko
Eraxis Australija, Kanada, S A D
Fuzig Meksiko
Stabilizacija rješenja   injekcija   Stabilizacija rješenja : Anidulafungin     
Kontejner sredstvo za rastapanje koncentracija temperatura Konzerviranje Trajanje stabilnosti Bibliografija
čaša čista voda za injektiranje 3.33 mg/ml 25°C nespecifičan
24 sat
3567
Podaci proizvođača o stabilnosti

nespecifičan natrijumkorid 0,9% 0.77 mg/ml 25°C nespecifičan
48 sat
3567
Podaci proizvođača o stabilnosti

nespecifičan glukoza 5% 0.77 mg/ml 25°C nespecifičan
48 sat
3567
Podaci proizvođača o stabilnosti


  Mentions Légales