Cập nhật lần cuối :
18/03/2026
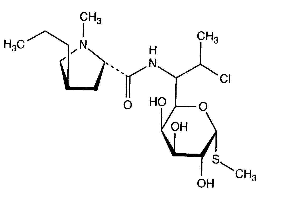
Kháng sinh   Clindamycin phosphate  
Dạng tiêm
Tính ổn định của các dung dịch Độ ổn định khi trộn lẫn Những yếu tố ảnh hưởng đến độ ổn định Khả năng tương thích Đường dùng Tài liệu tham khảo Pdf
   Cấu trúc hóa học  

Tên thương mại   Tên thương mại     

Các tên thương mại được cung cấp và thành phần tá dược có thể khác nhau giữa các quốc gia và các hãng dược

Biodaclin Mexico
Camyda Ấn Độ
Cinbiot Mexico
Cleocin Áo, Hoa Kỳ, Thổ Nhĩ Kỳ
Clinamsa Mexico
Clinbac Colombia, Peru
Clincina Bồ Đào Nha
Clinda-Saar Đức
Clindacid Venezuela
Clindacin Malaysia
Clindalaf Argentina
Clindamicina Argentina, Bồ Đào Nha, Brazil, Chile, Colombia, Ecuador, Mexico, Peru, Tây Ban Nha, Venezuela, Ý
Clindamycin Ả Rập Saudi, Áo, Canada, Hoa Kỳ, Iran, Na Uy, Romania, Thụy Điển, Đức
Clindamycin-Hameln Đức
Clindamycine Bỉ, Hà Lan, Pháp, Tunisia
Clindanovag Argentina
Clindarix Brazil
Clindasol Đức
Clindaval Venezuela
Clindazyn Mexico
Clindo Ba Lan
Clysvic Mexico
Daclin Chile
Dalacin Ả Rập, Ả Rập Saudi, Ấn Độ, Anh, Ba Lan, Bỉ, Canada, Chile, Colombia, Ecuador, Hà Lan, Hungary, Hy Lạp, Iceland, Iran, Ireland, Luxembourg, Malaysia, Mexico, Na Uy, new zealand, Phần Lan, Thụy Sỹ, Thụy Điển, Tunisia, Úc, United Arab Emirates, Venezuela, Ý, Đan Mạch
Dalacine Pháp, Tunisia
Daladic Iran
Dalcinex Ấn Độ
Damclid Ấn Độ
Damicin Colombia, Mexico
Damicine Colombia
Dolarclin Colombia
Euroclin Colombia, Ecuador
Gynasafe Ấn Độ
Indamid Mexico
Klimicin Ba Lan
Klindan Thổ Nhĩ Kỳ
Klindaver Thổ Nhĩ Kỳ
Lanacine Áo
Lincocin Malaysia
Lincosa Malaysia
Meneklin Thổ Nhĩ Kỳ
Sobelin Đức
Tidact Malaysia
Tính ổn định của các dung dịch   Dạng tiêm   Tính ổn định của các dung dịch : Clindamycin phosphate     
Bao bì Dung môi Nồng độ Nhiệt độ Bảo quản Thời gian ổn định Mục lục
Thủy tinh Nước cất pha tiêm 15 mg/ml 22°C Tránh ánh sáng
91 Ngày
80
Cấp độ bằng chứng C

Thủy tinh Nước cất pha tiêm 15 mg/ml 4°C Tránh ánh sáng
91 Ngày
80
Cấp độ bằng chứng C

Thủy tinh NaCl 0,9% 6 , 9 & 12 mg/ml -10°C Tránh ánh sáng
56 Ngày
566

Thủy tinh NaCl 0,9% 6 , 9 & 12 mg/ml 25°C Không rõ
16 Ngày
566

Thủy tinh NaCl 0,9% 6 , 9 & 12 mg/ml 4°C Tránh ánh sáng
32 Ngày
566

Thủy tinh NaCl 0,9% 9 mg/ml 24°C Ánh sáng
24 Giờ
421
JOKER

Thủy tinh NaCl 0,9% 9 mg/ml 25°C Ánh sáng
48 Giờ
418
Cấp độ bằng chứng D

Thủy tinh NaCl 0,9% 9 mg/ml 25°C Không rõ
48 Giờ
565
Cấp độ bằng chứng D

Thủy tinh NaCl 0,9% 9 & 12 mg/ml 25°C Ánh sáng
48 Giờ
432
Cấp độ bằng chứng D

Thủy tinh Glucose 5% 6 , 9 & 12 mg/ml -10°C Tránh ánh sáng
56 Ngày
566

Thủy tinh Glucose 5% 6 , 9 & 12 mg/ml 25°C Không rõ
16 Ngày
566

Thủy tinh Glucose 5% 6 , 9 & 12 mg/ml 4°C Tránh ánh sáng
32 Ngày
566

Thủy tinh Glucose 5% 9 mg/ml 24°C Ánh sáng
24 Giờ
421
JOKER

Thủy tinh Glucose 5% 9 mg/ml 25°C Ánh sáng
48 Giờ
418
Cấp độ bằng chứng D

Thủy tinh Glucose 5% 9 mg/ml 25°C Không rõ
48 Giờ
565
Cấp độ bằng chứng D

Thủy tinh Glucose 5% 9 & 12 mg/ml 25°C Ánh sáng
48 Giờ
432
Cấp độ bằng chứng D

Nhựa polyvinyl chloride NaCl 0,9% 6 , 9 & 12 mg/ml -10°C Tránh ánh sáng
56 Ngày
566

Nhựa polyvinyl chloride NaCl 0,9% 6 , 9 & 12 mg/ml 25°C Không rõ
16 Ngày
566

Nhựa polyvinyl chloride NaCl 0,9% 6 , 9 & 12 mg/ml 4°C Tránh ánh sáng
32 Ngày
566

Nhựa polyvinyl chloride NaCl 0,9% 6 & 12 mg/ml -10°C Tránh ánh sáng
68 Ngày
567
Cấp độ bằng chứng A

Nhựa polyvinyl chloride NaCl 0,9% 6 & 12 mg/ml 25°C Không rõ
22 Ngày
567
Cấp độ bằng chứng A

Nhựa polyvinyl chloride NaCl 0,9% 6 & 12 mg/ml 5°C Tránh ánh sáng
54 Ngày
567
Cấp độ bằng chứng A

Nhựa polyvinyl chloride NaCl 0,9% 9 mg/ml -20°C Tránh ánh sáng
28 Ngày
565
Cấp độ bằng chứng D

Nhựa polyvinyl chloride NaCl 0,9% 9 mg/ml 24°C Ánh sáng
24 Giờ
421
JOKER

Nhựa polyvinyl chloride Glucose 5% 6 mg/ml -20°C Tránh ánh sáng
30 Ngày
575
Phương pháp sinh học

Nhựa polyvinyl chloride Glucose 5% 6 , 9 & 12 mg/ml -10°C Tránh ánh sáng
56 Ngày
566

Nhựa polyvinyl chloride Glucose 5% 6 , 9 & 12 mg/ml 25°C Không rõ
16 Ngày
566

Nhựa polyvinyl chloride Glucose 5% 6 , 9 & 12 mg/ml 4°C Tránh ánh sáng
32 Ngày
566

Nhựa polyvinyl chloride Glucose 5% 6 & 12 mg/ml -10°C Tránh ánh sáng
68 Ngày
567
Cấp độ bằng chứng A

Nhựa polyvinyl chloride Glucose 5% 6 & 12 mg/ml 25°C Không rõ
22 Ngày
567
Cấp độ bằng chứng A

Nhựa polyvinyl chloride Glucose 5% 6 & 12 mg/ml 5°C Tránh ánh sáng
54 Ngày
567
Cấp độ bằng chứng A

Nhựa polyvinyl chloride Glucose 5% 9 mg/ml -20°C Tránh ánh sáng
28 Ngày
565
Cấp độ bằng chứng D

Nhựa polyvinyl chloride Glucose 5% 9 mg/ml 24°C Ánh sáng
24 Giờ
421
JOKER

Nhựa polyethylen NaCl 0,9% 3 mg/ml 22°C Tránh ánh sáng
24 Giờ
1067
Cấp độ bằng chứng C

Nhựa polyethylen NaCl 0,9% 3 mg/ml 4°C Tránh ánh sáng
24 Giờ
1067
Cấp độ bằng chứng C

Nhựa polyethylen Glucose 5% 3 mg/ml 22°C Tránh ánh sáng
24 Giờ
1067
Cấp độ bằng chứng C

Nhựa polyethylen Glucose 5% 3 mg/ml 4°C Tránh ánh sáng
24 Giờ
1067
Cấp độ bằng chứng C

Nhựa ethylene vinyl acetat NaCl 0,9% 6 & 12 mg/ml 23°C Tránh ánh sáng
7 Ngày
1815
Cấp độ bằng chứng A+

Nhựa ethylene vinyl acetat NaCl 0,9% 6 & 12 mg/ml 4°C Tránh ánh sáng
30 Ngày
1815
Cấp độ bằng chứng A+

ống tiêm polypropylene NaCl 0,9% 150 mg/ml 22°C-23°C Ánh sáng
48 Giờ
639
Cấp độ bằng chứng D

ống tiêm polypropylene NaCl 0,9% 60 mg/ml 25°C Ánh sáng
48 Giờ
644
Cấp độ bằng chứng B

Chất đàn hồi polyisoprene NaCl 0,9% 2 & 12 mg/ml 25°C Không rõ
24 Giờ
604
Các dữ liệu về độ ổn định của nhà sản xuất

Chất đàn hồi polyisoprene NaCl 0,9% 2 & 12 mg/ml 4°C Tránh ánh sáng
10 Ngày
604
Các dữ liệu về độ ổn định của nhà sản xuất

Không rõ NaCl 0,9% 9,5 mg/ml 2-8°C Không rõ
49 Ngày
4622
Cấp độ bằng chứng A+

Không rõ NaCl 0,9% 9,5 mg/ml 25°C Không rõ
24 Giờ
4622
Cấp độ bằng chứng A+

Không rõ Glucose 5% 9,5 mg/ml 2-8°C Không rõ
47 Ngày
4619
Cấp độ bằng chứng A+

Không rõ Glucose 5% 9,5 mg/ml 25°C Không rõ
24 Giờ
4619
Cấp độ bằng chứng A+


  Mentions Légales