Dernière mise à jour :
16/12/2025
Antibiotique   Clindamycin phosphate  
injectable
Stabilité des solutions Stabilité en mélange Facteur influençant la stabilité Compatibilités Voie d’administration Bibliographie pdf
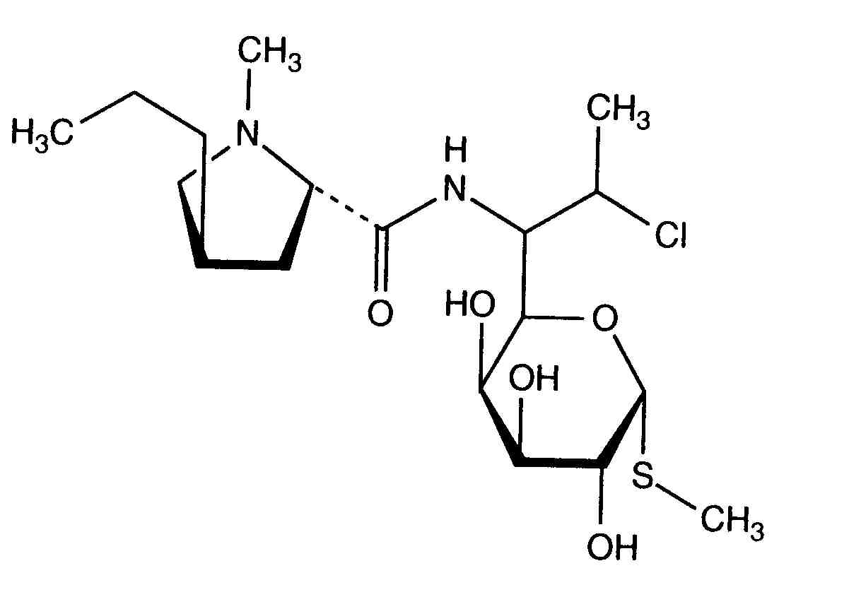
   Structure chimique  

Noms commerciaux   Noms commerciaux     

Les noms commerciaux sont donnés à titre indicatif et la composition en excipients peut être différente selon les pays et selon les laboratoires

Biodaclin Mexique
Camyda Inde
Cinbiot Mexique
Cleocin Autriche, Etats Unis d’Amérique, Turquie
Clinamsa Mexique
Clinbac Colombie, Pérou
Clincina Portugal
Clinda-Saar Allemagne
Clindacid Vénézuela
Clindacin Malaisie
Clindalaf Argentine
Clindamicina Argentine, Brésil, Chili, Colombie, Equateur, Espagne, Italie, Mexique, Pérou, Portugal, Vénézuela
Clindamycin Allemagne, Arabie Saoudite, Autriche, Canada, Etats Unis d’Amérique, Iran, Norvège, Roumanie, Suède
Clindamycin-Hameln Allemagne
Clindamycine Belgique, France, Pays bas, Tunisie
Clindanovag Argentine
Clindarix Brésil
Clindasol Allemagne
Clindaval Vénézuela
Clindazyn Mexique
Clindo Pologne
Clysvic Mexique
Daclin Chili
Dalacin Arabie Saoudite, Australie, Belgique, Canada, Chili, Colombie, Danemark, Egypte, Emirats Arabes Unis , Equateur, Finlande, Grande Bretagne, Grèce, Hongrie, Inde, Iran, Irlande, Islande, Italie, Luxembourg, Malaisie, Mexique, Norvège, Nouvelle Zélande, Pays bas, Pologne, Suède, Suisse, Tunisie, Vénézuela
Dalacine France, Tunisie
Daladic Iran
Dalcinex Inde
Damclid Inde
Damicin Colombie, Mexique
Damicine Colombie
Dolarclin Colombie
Euroclin Colombie, Equateur
Gynasafe Inde
Indamid Mexique
Klimicin Pologne
Klindan Turquie
Klindaver Turquie
Lanacine Autriche
Lincocin Malaisie
Lincosa Malaisie
Meneklin Turquie
Sobelin Allemagne
Tidact Malaisie
Stabilité des solutions   injectable   Stabilité des solutions : Clindamycin phosphate     
Contenant Solvant Concentration Température Conservation Durée de stabilité Bibliographie
Verre Eau pour préparation injectable 15 mg/ml 22°C A l’abri de la lumière
91 Jour
80
Niveau de preuve C

Verre Eau pour préparation injectable 15 mg/ml 4°C A l’abri de la lumière
91 Jour
80
Niveau de preuve C

Verre Chlorure de sodium 0,9% 6 , 9 & 12 mg/ml -10°C A l’abri de la lumière
56 Jour
566

Verre Chlorure de sodium 0,9% 6 , 9 & 12 mg/ml 25°C Non précisée
16 Jour
566

Verre Chlorure de sodium 0,9% 6 , 9 & 12 mg/ml 4°C A l’abri de la lumière
32 Jour
566

Verre Chlorure de sodium 0,9% 9 mg/ml 24°C Lumière
24 Heure
421
JOKER

Verre Chlorure de sodium 0,9% 9 mg/ml 25°C Lumière
48 Heure
418
Niveau de preuve D

Verre Chlorure de sodium 0,9% 9 mg/ml 25°C Non précisée
48 Heure
565
Niveau de preuve D

Verre Chlorure de sodium 0,9% 9 & 12 mg/ml 25°C Lumière
48 Heure
432
Niveau de preuve D

Verre Glucose 5% 6 , 9 & 12 mg/ml -10°C A l’abri de la lumière
56 Jour
566

Verre Glucose 5% 6 , 9 & 12 mg/ml 25°C Non précisée
16 Jour
566

Verre Glucose 5% 6 , 9 & 12 mg/ml 4°C A l’abri de la lumière
32 Jour
566

Verre Glucose 5% 9 mg/ml 24°C Lumière
24 Heure
421
JOKER

Verre Glucose 5% 9 mg/ml 25°C Lumière
48 Heure
418
Niveau de preuve D

Verre Glucose 5% 9 mg/ml 25°C Non précisée
48 Heure
565
Niveau de preuve D

Verre Glucose 5% 9 & 12 mg/ml 25°C Lumière
48 Heure
432
Niveau de preuve D

Polyvinyl chlorure Chlorure de sodium 0,9% 6 , 9 & 12 mg/ml -10°C A l’abri de la lumière
56 Jour
566

Polyvinyl chlorure Chlorure de sodium 0,9% 6 , 9 & 12 mg/ml 25°C Non précisée
16 Jour
566

Polyvinyl chlorure Chlorure de sodium 0,9% 6 , 9 & 12 mg/ml 4°C A l’abri de la lumière
32 Jour
566

Polyvinyl chlorure Chlorure de sodium 0,9% 6 & 12 mg/ml -10°C A l’abri de la lumière
68 Jour
567
Niveau de preuve A

Polyvinyl chlorure Chlorure de sodium 0,9% 6 & 12 mg/ml 25°C Non précisée
22 Jour
567
Niveau de preuve A

Polyvinyl chlorure Chlorure de sodium 0,9% 6 & 12 mg/ml 5°C A l’abri de la lumière
54 Jour
567
Niveau de preuve A

Polyvinyl chlorure Chlorure de sodium 0,9% 9 mg/ml -20°C A l’abri de la lumière
28 Jour
565
Niveau de preuve D

Polyvinyl chlorure Chlorure de sodium 0,9% 9 mg/ml 24°C Lumière
24 Heure
421
JOKER

Polyvinyl chlorure Glucose 5% 6 mg/ml -20°C A l’abri de la lumière
30 Jour
575
Méthode biologique

Polyvinyl chlorure Glucose 5% 6 , 9 & 12 mg/ml -10°C A l’abri de la lumière
56 Jour
566

Polyvinyl chlorure Glucose 5% 6 , 9 & 12 mg/ml 25°C Non précisée
16 Jour
566

Polyvinyl chlorure Glucose 5% 6 , 9 & 12 mg/ml 4°C A l’abri de la lumière
32 Jour
566

Polyvinyl chlorure Glucose 5% 6 & 12 mg/ml -10°C A l’abri de la lumière
68 Jour
567
Niveau de preuve A

Polyvinyl chlorure Glucose 5% 6 & 12 mg/ml 25°C Non précisée
22 Jour
567
Niveau de preuve A

Polyvinyl chlorure Glucose 5% 6 & 12 mg/ml 5°C A l’abri de la lumière
54 Jour
567
Niveau de preuve A

Polyvinyl chlorure Glucose 5% 9 mg/ml -20°C A l’abri de la lumière
28 Jour
565
Niveau de preuve D

Polyvinyl chlorure Glucose 5% 9 mg/ml 24°C Lumière
24 Heure
421
JOKER

Polyéthylène Chlorure de sodium 0,9% 3 mg/ml 22°C A l’abri de la lumière
24 Heure
1067
Niveau de preuve C

Polyéthylène Chlorure de sodium 0,9% 3 mg/ml 4°C A l’abri de la lumière
24 Heure
1067
Niveau de preuve C

Polyéthylène Glucose 5% 3 mg/ml 22°C A l’abri de la lumière
24 Heure
1067
Niveau de preuve C

Polyéthylène Glucose 5% 3 mg/ml 4°C A l’abri de la lumière
24 Heure
1067
Niveau de preuve C

Ethylène vinyl acétate Chlorure de sodium 0,9% 6 & 12 mg/ml 23°C A l’abri de la lumière
7 Jour
1815
Niveau de preuve A +

Ethylène vinyl acétate Chlorure de sodium 0,9% 6 & 12 mg/ml 4°C A l’abri de la lumière
30 Jour
1815
Niveau de preuve A +

Seringue polypropylène Chlorure de sodium 0,9% 150 mg/ml 22°C-23°C Lumière
48 Heure
639
Niveau de preuve D

Seringue polypropylène Chlorure de sodium 0,9% 60 mg/ml 25°C Lumière
48 Heure
644
Niveau de preuve B

Elastomère en polyisoprène Chlorure de sodium 0,9% 2 & 12 mg/ml 25°C Non précisée
24 Heure
604
Données de stabilité du fabricant

Elastomère en polyisoprène Chlorure de sodium 0,9% 2 & 12 mg/ml 4°C A l’abri de la lumière
10 Jour
604
Données de stabilité du fabricant

Non précisé Chlorure de sodium 0,9% 9,5 mg/ml 2-8°C Non précisée
49 Jour
4622
Niveau de preuve A +

Non précisé Chlorure de sodium 0,9% 9,5 mg/ml 25°C Non précisée
24 Heure
4622
Niveau de preuve A +

Non précisé Glucose 5% 9,5 mg/ml 2-8°C Non précisée
47 Jour
4619
Niveau de preuve A +

Non précisé Glucose 5% 9,5 mg/ml 25°C Non précisée
24 Heure
4619
Niveau de preuve A +


  Mentions Légales