Son güncelleme :
27/01/2026
Antibiyotik   Clindamycin phosphate  
Enjeksiyon
Çözeltilerin stabilitesi Karışımlardaki stabilitesi Stabiliteyi etkileyen faktörler Uyumluluk Uygulama yöntemi Kaynaklar pdf
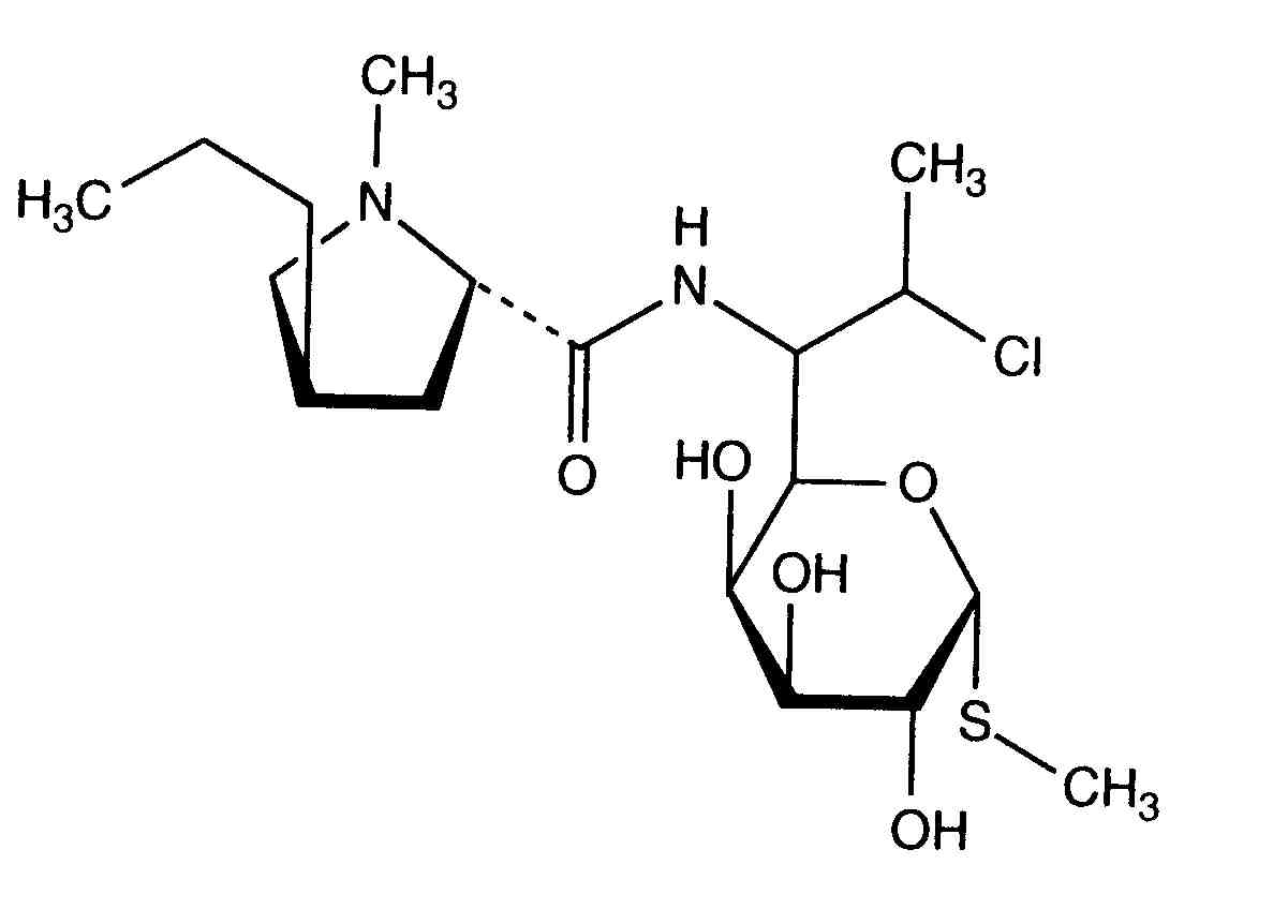
   Kimyasal yapı   

Ticari isim   Ticari isim     

Trade names are indicative and excipients composition can be different depending on the country and manufacturers

Biodaclin Meksika
Camyda Hindistan
Cinbiot Meksika
Cleocin Amerika Birleşik Devletleri, Avusturya, Türkiye
Clinamsa Meksika
Clinbac Kolombiya, Peru
Clincina Portekiz
Clinda-Saar Almanya
Clindacid Venezuela
Clindacin Malezya
Clindalaf Arjantin
Clindamicina Arjantin, Brezilya, Ekvador, İspanya, İtalya, Kolombiya, Meksika, Peru, Portekiz, Şili, Venezuela
Clindamycin Almanya, Amerika Birleşik Devletleri, Avusturya, İran, İsveç, Kanada, Norveç, Romanya, Suudi Arabistan
Clindamycin-Hameln Almanya
Clindamycine Belçika, Fransa, Hollanda, Tunus
Clindanovag Arjantin
Clindarix Brezilya
Clindasol Almanya
Clindaval Venezuela
Clindazyn Meksika
Clindo Polonya
Clysvic Meksika
Daclin Şili
Dalacin Avustralya, Belçika, Birleşik Arap Emirlikleri, Büyük Britanya, Danimarka, Ekvador, Finlandiya, Hindistan, Hollanda, İran, İrlanda, İsveç, İsviçre, İtalya, İzlanda, Kanada, Kolombiya, Lüksemburg, Macaristan, Malezya, Meksika, Mısır, Norveç, Polonya, Şili, Suudi Arabistan, Tunus, Venezuela, yeni Zelanda, Yunanistan
Dalacine Fransa, Tunus
Daladic İran
Dalcinex Hindistan
Damclid Hindistan
Damicin Kolombiya, Meksika
Damicine Kolombiya
Dolarclin Kolombiya
Euroclin Ekvador, Kolombiya
Gynasafe Hindistan
Indamid Meksika
Klimicin Polonya
Klindan Türkiye
Klindaver Türkiye
Lanacine Avusturya
Lincocin Malezya
Lincosa Malezya
Meneklin Türkiye
Sobelin Almanya
Tidact Malezya
Çözeltilerin stabilitesi   Enjeksiyon    Çözeltilerin stabilitesi : Clindamycin phosphate     
Saklama kabı Çözücü Konsantrasyon Isı Saklama    Stabilite süresi Kaynaklar
Cam Enjeksiyonluk su 15 mg/ml 22°C Işıktan koruyunuz
91 Gün
80
Kanıt düzeyi C

Cam Enjeksiyonluk su 15 mg/ml 4°C Işıktan koruyunuz
91 Gün
80
Kanıt düzeyi C

Cam Sodyum klorür % 0,9 6 , 9 & 12 mg/ml -10°C Işıktan koruyunuz
56 Gün
566

Cam Sodyum klorür % 0,9 6 , 9 & 12 mg/ml 25°C Belirtilmemiş
16 Gün
566

Cam Sodyum klorür % 0,9 6 , 9 & 12 mg/ml 4°C Işıktan koruyunuz
32 Gün
566

Cam Sodyum klorür % 0,9 9 mg/ml 24°C I_ık
24 Zaman
421
Joker

Cam Sodyum klorür % 0,9 9 mg/ml 25°C I_ık
48 Zaman
418
Kanıt düzeyi D

Cam Sodyum klorür % 0,9 9 mg/ml 25°C Belirtilmemiş
48 Zaman
565
Kanıt düzeyi D

Cam Sodyum klorür % 0,9 9 & 12 mg/ml 25°C I_ık
48 Zaman
432
Kanıt düzeyi D

Cam Glukoz %5 6 , 9 & 12 mg/ml -10°C Işıktan koruyunuz
56 Gün
566

Cam Glukoz %5 6 , 9 & 12 mg/ml 25°C Belirtilmemiş
16 Gün
566

Cam Glukoz %5 6 , 9 & 12 mg/ml 4°C Işıktan koruyunuz
32 Gün
566

Cam Glukoz %5 9 mg/ml 24°C I_ık
24 Zaman
421
Joker

Cam Glukoz %5 9 mg/ml 25°C I_ık
48 Zaman
418
Kanıt düzeyi D

Cam Glukoz %5 9 mg/ml 25°C Belirtilmemiş
48 Zaman
565
Kanıt düzeyi D

Cam Glukoz %5 9 & 12 mg/ml 25°C I_ık
48 Zaman
432
Kanıt düzeyi D

Polivinil klorür Sodyum klorür % 0,9 6 , 9 & 12 mg/ml -10°C Işıktan koruyunuz
56 Gün
566

Polivinil klorür Sodyum klorür % 0,9 6 , 9 & 12 mg/ml 25°C Belirtilmemiş
16 Gün
566

Polivinil klorür Sodyum klorür % 0,9 6 , 9 & 12 mg/ml 4°C Işıktan koruyunuz
32 Gün
566

Polivinil klorür Sodyum klorür % 0,9 6 & 12 mg/ml -10°C Işıktan koruyunuz
68 Gün
567
Kanıt düzeyi A

Polivinil klorür Sodyum klorür % 0,9 6 & 12 mg/ml 25°C Belirtilmemiş
22 Gün
567
Kanıt düzeyi A

Polivinil klorür Sodyum klorür % 0,9 6 & 12 mg/ml 5°C Işıktan koruyunuz
54 Gün
567
Kanıt düzeyi A

Polivinil klorür Sodyum klorür % 0,9 9 mg/ml -20°C Işıktan koruyunuz
28 Gün
565
Kanıt düzeyi D

Polivinil klorür Sodyum klorür % 0,9 9 mg/ml 24°C I_ık
24 Zaman
421
Joker

Polivinil klorür Glukoz %5 6 mg/ml -20°C Işıktan koruyunuz
30 Gün
575
biyolojik analiz

Polivinil klorür Glukoz %5 6 , 9 & 12 mg/ml -10°C Işıktan koruyunuz
56 Gün
566

Polivinil klorür Glukoz %5 6 , 9 & 12 mg/ml 25°C Belirtilmemiş
16 Gün
566

Polivinil klorür Glukoz %5 6 , 9 & 12 mg/ml 4°C Işıktan koruyunuz
32 Gün
566

Polivinil klorür Glukoz %5 6 & 12 mg/ml -10°C Işıktan koruyunuz
68 Gün
567
Kanıt düzeyi A

Polivinil klorür Glukoz %5 6 & 12 mg/ml 25°C Belirtilmemiş
22 Gün
567
Kanıt düzeyi A

Polivinil klorür Glukoz %5 6 & 12 mg/ml 5°C Işıktan koruyunuz
54 Gün
567
Kanıt düzeyi A

Polivinil klorür Glukoz %5 9 mg/ml -20°C Işıktan koruyunuz
28 Gün
565
Kanıt düzeyi D

Polivinil klorür Glukoz %5 9 mg/ml 24°C I_ık
24 Zaman
421
Joker

Polietilen Sodyum klorür % 0,9 3 mg/ml 22°C Işıktan koruyunuz
24 Zaman
1067
Kanıt düzeyi C

Polietilen Sodyum klorür % 0,9 3 mg/ml 4°C Işıktan koruyunuz
24 Zaman
1067
Kanıt düzeyi C

Polietilen Glukoz %5 3 mg/ml 22°C Işıktan koruyunuz
24 Zaman
1067
Kanıt düzeyi C

Polietilen Glukoz %5 3 mg/ml 4°C Işıktan koruyunuz
24 Zaman
1067
Kanıt düzeyi C

Etilen vinil asetat (EVA) Sodyum klorür % 0,9 6 & 12 mg/ml 23°C Işıktan koruyunuz
7 Gün
1815
Kanıt düzeyi A+

Etilen vinil asetat (EVA) Sodyum klorür % 0,9 6 & 12 mg/ml 4°C Işıktan koruyunuz
30 Gün
1815
Kanıt düzeyi A+

Şırınga polipropilen Sodyum klorür % 0,9 150 mg/ml 22°C-23°C I_ık
48 Zaman
639
Kanıt düzeyi D

Şırınga polipropilen Sodyum klorür % 0,9 60 mg/ml 25°C I_ık
48 Zaman
644
Kanıt düzeyi B

poliizopren elastomer Sodyum klorür % 0,9 2 & 12 mg/ml 25°C Belirtilmemiş
24 Zaman
604
Üreticinin stabilite verileri

poliizopren elastomer Sodyum klorür % 0,9 2 & 12 mg/ml 4°C Işıktan koruyunuz
10 Gün
604
Üreticinin stabilite verileri

Belirtilmemiş Sodyum klorür % 0,9 9,5 mg/ml 2-8°C Belirtilmemiş
49 Gün
4622
Kanıt düzeyi A+

Belirtilmemiş Sodyum klorür % 0,9 9,5 mg/ml 25°C Belirtilmemiş
24 Zaman
4622
Kanıt düzeyi A+

Belirtilmemiş Glukoz %5 9,5 mg/ml 2-8°C Belirtilmemiş
47 Gün
4619
Kanıt düzeyi A+

Belirtilmemiş Glukoz %5 9,5 mg/ml 25°C Belirtilmemiş
24 Zaman
4619
Kanıt düzeyi A+


  Mentions Légales