Laatste update :
27/01/2026
Antibioticum   Clindamycin phosphate  
injecteerbaar geneesmiddel
Stabiliteit in oplossing Stabiliteit in mengsels Factoren die de stabiliteit beïnvloeden Verenigbaarheden Toedieningswijze Literatuur pdf
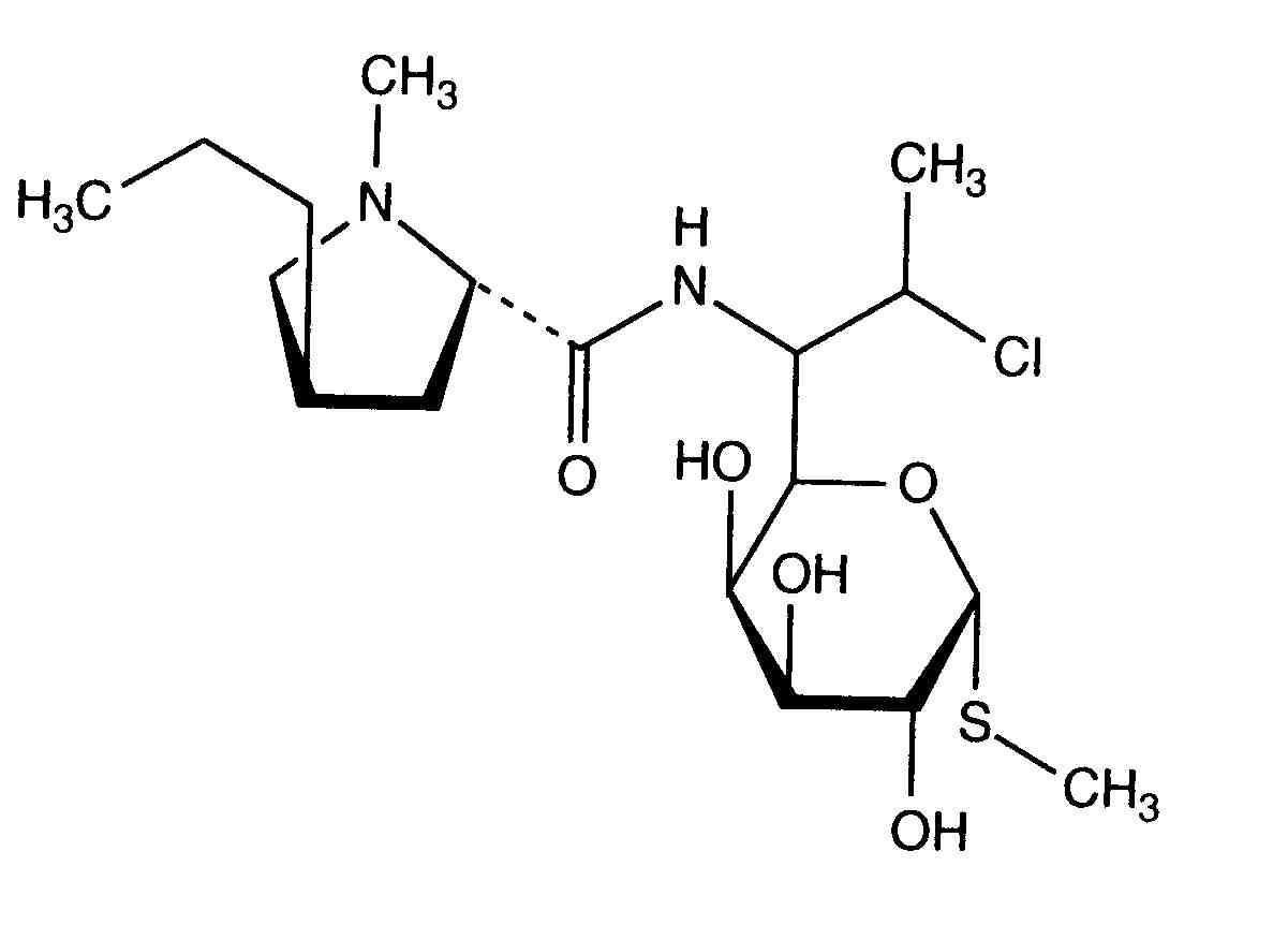
   Molecuulstructuur  

Merknamen in verschillende landen   Merknamen in verschillende landen     

Handelsnamen zijn slechts een indicatie; de samenstelling van hulpstoffen kan per land variëren afhankelijk van de fabrikant

Biodaclin Mexico
Camyda Indië
Cinbiot Mexico
Cleocin Oostenrijk, Turkije, USA
Clinamsa Mexico
Clinbac Colombia, Peru
Clincina Portugal
Clinda-Saar Duitsland
Clindacid Venezuela
Clindacin Maleisië
Clindalaf Argentinië
Clindamicina Argentinië, Brazilië, Chili, Colombia, Ecuador, Italië, Mexico, Peru, Portugal, Spanje, Venezuela
Clindamycin Canada, Duitsland, Iran, Noorwegen, Oostenrijk, Roemenië, Saudi-Arabië, USA, Zweden
Clindamycin-Hameln Duitsland
Clindamycine België, Frankrijk, Nederland, Tunisie
Clindanovag Argentinië
Clindarix Brazilië
Clindasol Duitsland
Clindaval Venezuela
Clindazyn Mexico
Clindo Polen
Clysvic Mexico
Daclin Chili
Dalacin Australië, België, Canada, Chili, Colombia, Denemarken, Ecuador, Egypte, Finland, Griekenland, Groot Britannië, Hongarije, Ierland, IJsland, Indië, Iran, Italië, Luxemburg, Maleisië, Mexico, Nederland, nieuw Zeeland, Noorwegen, Polen, Saudi-Arabië, Tunisie, Venezuela, Verenigde Arabische Emiraten, Zweden, Zwitserland
Dalacine Frankrijk, Tunisie
Daladic Iran
Dalcinex Indië
Damclid Indië
Damicin Colombia, Mexico
Damicine Colombia
Dolarclin Colombia
Euroclin Colombia, Ecuador
Gynasafe Indië
Indamid Mexico
Klimicin Polen
Klindan Turkije
Klindaver Turkije
Lanacine Oostenrijk
Lincocin Maleisië
Lincosa Maleisië
Meneklin Turkije
Sobelin Duitsland
Tidact Maleisië
Stabiliteit in oplossing   injecteerbaar geneesmiddel   Stabiliteit in oplossing : Clindamycin phosphate     
Verpakking Oplosmiddel Concentratie Temperatuur Bewaring Duur van de stabiliteit Literatuur
Glas Water voor injectie 15 mg/ml 22°C Buiten invloed van licht
91 Dag
80
Bewijsniveau C

Glas Water voor injectie 15 mg/ml 4°C Buiten invloed van licht
91 Dag
80
Bewijsniveau C

Glas Natriumchloride 0,9% 6 , 9 & 12 mg/ml -10°C Buiten invloed van licht
56 Dag
566

Glas Natriumchloride 0,9% 6 , 9 & 12 mg/ml 25°C Niet gespecificeerd
16 Dag
566

Glas Natriumchloride 0,9% 6 , 9 & 12 mg/ml 4°C Buiten invloed van licht
32 Dag
566

Glas Natriumchloride 0,9% 9 mg/ml 24°C Licht
24 Uur
421
Joker

Glas Natriumchloride 0,9% 9 mg/ml 25°C Licht
48 Uur
418
Bewijsniveau D

Glas Natriumchloride 0,9% 9 mg/ml 25°C Niet gespecificeerd
48 Uur
565
Bewijsniveau D

Glas Natriumchloride 0,9% 9 & 12 mg/ml 25°C Licht
48 Uur
432
Bewijsniveau D

Glas Glucose 5% 6 , 9 & 12 mg/ml -10°C Buiten invloed van licht
56 Dag
566

Glas Glucose 5% 6 , 9 & 12 mg/ml 25°C Niet gespecificeerd
16 Dag
566

Glas Glucose 5% 6 , 9 & 12 mg/ml 4°C Buiten invloed van licht
32 Dag
566

Glas Glucose 5% 9 mg/ml 24°C Licht
24 Uur
421
Joker

Glas Glucose 5% 9 mg/ml 25°C Licht
48 Uur
418
Bewijsniveau D

Glas Glucose 5% 9 mg/ml 25°C Niet gespecificeerd
48 Uur
565
Bewijsniveau D

Glas Glucose 5% 9 & 12 mg/ml 25°C Licht
48 Uur
432
Bewijsniveau D

Polyvinylchloride (PVC) Natriumchloride 0,9% 6 , 9 & 12 mg/ml -10°C Buiten invloed van licht
56 Dag
566

Polyvinylchloride (PVC) Natriumchloride 0,9% 6 , 9 & 12 mg/ml 25°C Niet gespecificeerd
16 Dag
566

Polyvinylchloride (PVC) Natriumchloride 0,9% 6 , 9 & 12 mg/ml 4°C Buiten invloed van licht
32 Dag
566

Polyvinylchloride (PVC) Natriumchloride 0,9% 6 & 12 mg/ml -10°C Buiten invloed van licht
68 Dag
567
Bewijsniveau A

Polyvinylchloride (PVC) Natriumchloride 0,9% 6 & 12 mg/ml 25°C Niet gespecificeerd
22 Dag
567
Bewijsniveau A

Polyvinylchloride (PVC) Natriumchloride 0,9% 6 & 12 mg/ml 5°C Buiten invloed van licht
54 Dag
567
Bewijsniveau A

Polyvinylchloride (PVC) Natriumchloride 0,9% 9 mg/ml -20°C Buiten invloed van licht
28 Dag
565
Bewijsniveau D

Polyvinylchloride (PVC) Natriumchloride 0,9% 9 mg/ml 24°C Licht
24 Uur
421
Joker

Polyvinylchloride (PVC) Glucose 5% 6 mg/ml -20°C Buiten invloed van licht
30 Dag
575
Biologische analyse

Polyvinylchloride (PVC) Glucose 5% 6 , 9 & 12 mg/ml -10°C Buiten invloed van licht
56 Dag
566

Polyvinylchloride (PVC) Glucose 5% 6 , 9 & 12 mg/ml 25°C Niet gespecificeerd
16 Dag
566

Polyvinylchloride (PVC) Glucose 5% 6 , 9 & 12 mg/ml 4°C Buiten invloed van licht
32 Dag
566

Polyvinylchloride (PVC) Glucose 5% 6 & 12 mg/ml -10°C Buiten invloed van licht
68 Dag
567
Bewijsniveau A

Polyvinylchloride (PVC) Glucose 5% 6 & 12 mg/ml 25°C Niet gespecificeerd
22 Dag
567
Bewijsniveau A

Polyvinylchloride (PVC) Glucose 5% 6 & 12 mg/ml 5°C Buiten invloed van licht
54 Dag
567
Bewijsniveau A

Polyvinylchloride (PVC) Glucose 5% 9 mg/ml -20°C Buiten invloed van licht
28 Dag
565
Bewijsniveau D

Polyvinylchloride (PVC) Glucose 5% 9 mg/ml 24°C Licht
24 Uur
421
Joker

Polyethyleen (PE) Natriumchloride 0,9% 3 mg/ml 22°C Buiten invloed van licht
24 Uur
1067
Bewijsniveau C

Polyethyleen (PE) Natriumchloride 0,9% 3 mg/ml 4°C Buiten invloed van licht
24 Uur
1067
Bewijsniveau C

Polyethyleen (PE) Glucose 5% 3 mg/ml 22°C Buiten invloed van licht
24 Uur
1067
Bewijsniveau C

Polyethyleen (PE) Glucose 5% 3 mg/ml 4°C Buiten invloed van licht
24 Uur
1067
Bewijsniveau C

Ethyleenvinylacetaat (EVA) Natriumchloride 0,9% 6 & 12 mg/ml 23°C Buiten invloed van licht
7 Dag
1815
Bewijsniveau A+

Ethyleenvinylacetaat (EVA) Natriumchloride 0,9% 6 & 12 mg/ml 4°C Buiten invloed van licht
30 Dag
1815
Bewijsniveau A+

injectiespuit polypropyleen Natriumchloride 0,9% 150 mg/ml 22°C-23°C Licht
48 Uur
639
Bewijsniveau D

injectiespuit polypropyleen Natriumchloride 0,9% 60 mg/ml 25°C Licht
48 Uur
644
Bewijsniveau B

Polyisopreen elastomeer Natriumchloride 0,9% 2 & 12 mg/ml 25°C Niet gespecificeerd
24 Uur
604
Stabiliteitsgegevens van de fabrikant

Polyisopreen elastomeer Natriumchloride 0,9% 2 & 12 mg/ml 4°C Buiten invloed van licht
10 Dag
604
Stabiliteitsgegevens van de fabrikant

Niet gespecificeerd Natriumchloride 0,9% 9,5 mg/ml 2-8°C Niet gespecificeerd
49 Dag
4622
Bewijsniveau A+

Niet gespecificeerd Natriumchloride 0,9% 9,5 mg/ml 25°C Niet gespecificeerd
24 Uur
4622
Bewijsniveau A+

Niet gespecificeerd Glucose 5% 9,5 mg/ml 2-8°C Niet gespecificeerd
47 Dag
4619
Bewijsniveau A+

Niet gespecificeerd Glucose 5% 9,5 mg/ml 25°C Niet gespecificeerd
24 Uur
4619
Bewijsniveau A+


  Mentions Légales