Posledná aktualizácia :
27/04/2026
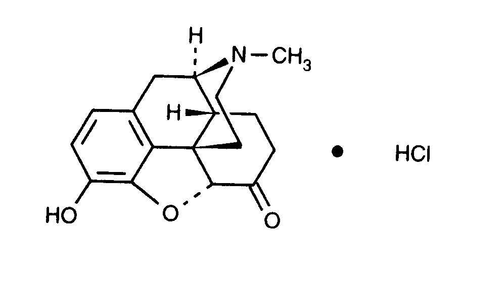
analgetikum   Hydromorphone hydrochloride  
Injekcia
Stabilita roztokov Stabilita v zmesiach Faktory ovplyvňujúce stabilitu Kompatibility spôsob podania Odkazy na literatúru PDF
   Chemický vzorec  

Obchodný názov   Obchodný názov     

Obchodné názvy sú orientačné, a zloženie pomocných látok sa môže líšiť v závislosti od krajiny a výrobcu.

Dilaudid Kanada, Spojené štáty Americké
Hydal Rakúsko
Palladon Dánsko, Švajčiarsko
Palladone Veľká Británia

Faktory ovplyvňujúce stabilitu   Injekcia   Faktory ovplyvňujúce stabilitu : Hydromorphone hydrochloride        

  Mentions Légales