Letztes “update” :
27/04/2026
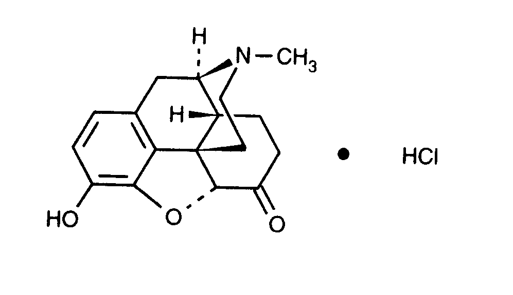
Analgetikum   Hydromorphone hydrochloride  
Injektion
Stabilität der Lösung Gemengestabilität Stabilitätbeeinflussende Faktoren Kompatibilitäten Applikationsart Literaturverzeichnis pdf
   Chemische Struktur  

Handelsmarke   Handelsmarke     

Handelsnamen sind als beispielhaft anzusehen. Sonstige Bestandteile können je nach Hersteller oder Land verschieden sein

Dilaudid Kanada, Vereinigte Staaten von Amerika
Hydal Österreich
Palladon Dänemark, Schweiz
Palladone Großbritannien

Stabilitätbeeinflussende Faktoren   Injektion   Stabilitätbeeinflussende Faktoren : Hydromorphone hydrochloride        

  Mentions Légales