Dernière mise à jour :
27/04/2026
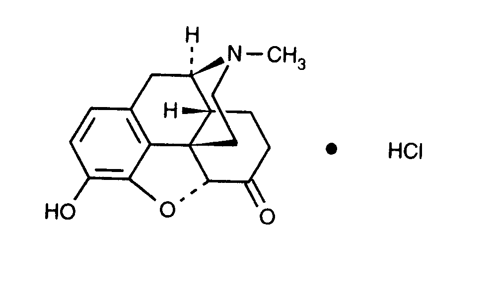
Antalgique   Hydromorphone hydrochloride  
injectable
Stabilité des solutions Stabilité en mélange Facteur influençant la stabilité Compatibilités Voie d’administration Bibliographie pdf
   Structure chimique  

Noms commerciaux   Noms commerciaux     

Les noms commerciaux sont donnés à titre indicatif et la composition en excipients peut être différente selon les pays et selon les laboratoires

Dilaudid Canada, Etats Unis d’Amérique
Hydal Autriche
Palladon Danemark, Suisse
Palladone Grande Bretagne

Facteur influençant la stabilité   injectable   Facteur influençant la stabilité : Hydromorphone hydrochloride        

  Mentions Légales