Viimeisin päivitys :
27/04/2026
Analgeetit   Hydromorphone hydrochloride  
Injektioneste
Stabilius liuoksessa Stabilius seoksissa Tekijät, jotka vaikuttavat stabiliuteen Yhteensopivuus Antotapa Viitteet pdf
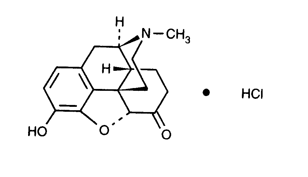
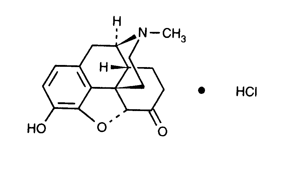
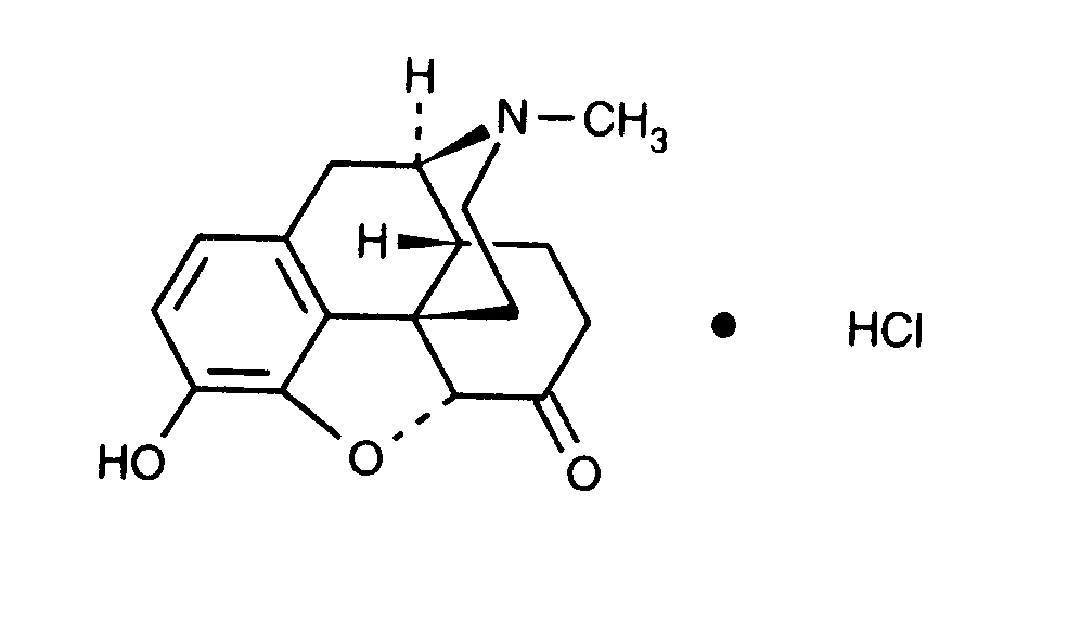
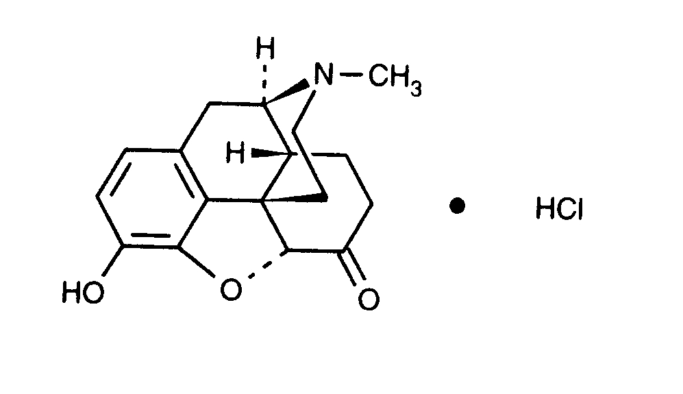
   Kemiallinen rakenne  

Kauppanimi   Kauppanimi     

Trade names are indicative and excipients composition can be different depending on the country and manufacturers

Dilaudid Kanada, Yhdysvallat
Hydal Itävalta
Palladon Sveitsi, Tanska
Palladone Iso-Britannia

Tekijät, jotka vaikuttavat stabiliuteen   Injektioneste   Tekijät, jotka vaikuttavat stabiliuteen : Hydromorphone hydrochloride        

  Mentions Légales