Zadnji put ažurirano :
27/04/2026
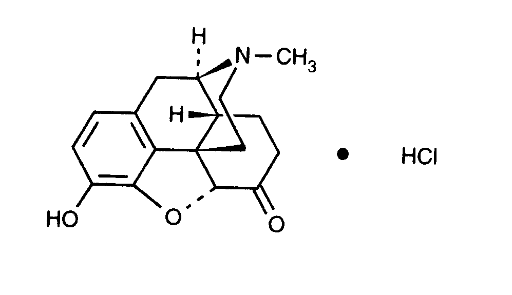
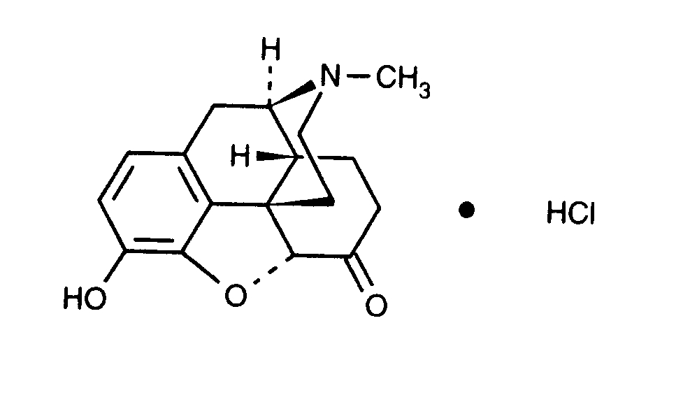
analgetik   Hydromorphone hydrochloride  
injekcija
Stabilizacija rješenja Stabilnost mješavine Stabilizacijski faktor Kompatibilnosti način davanja lijeka Bibliografija pdf
   Kemijska struktura  

Nekomercijalni   Nekomercijalni     

Zaštićeni nazivi su indikativni i sastav ekscipijensa može biti različit ovisno o državi i laboratorijima

Dilaudid Kanada, S A D
Hydal Austrija
Palladon Danska, Švicarska
Palladone Velika Britanija

Stabilizacijski faktor   injekcija   Stabilizacijski faktor : Hydromorphone hydrochloride        

  Mentions Légales