Seneste opdatering :
27/04/2026
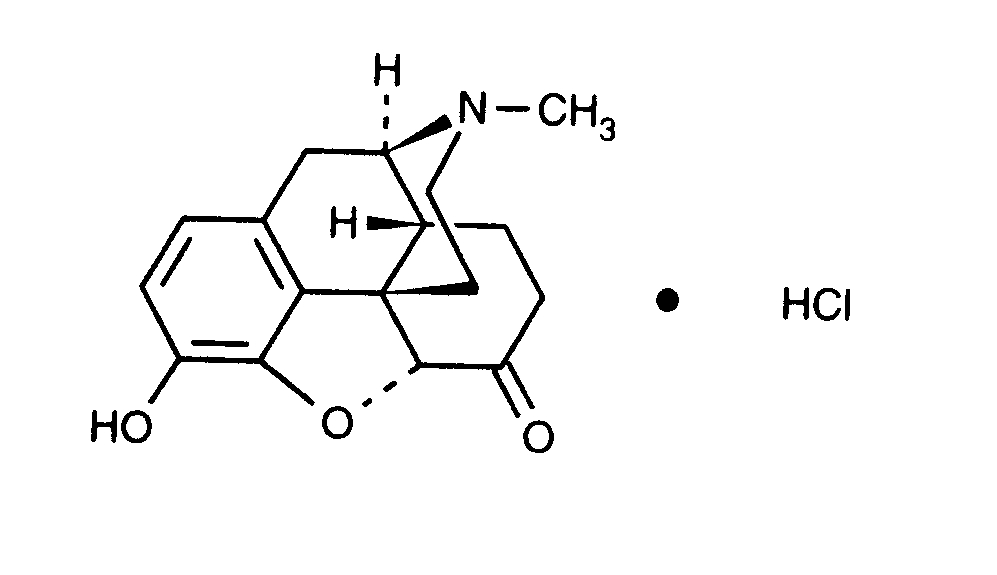
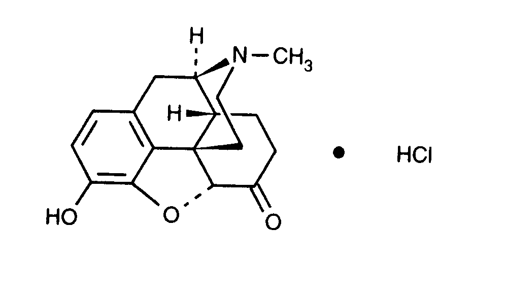
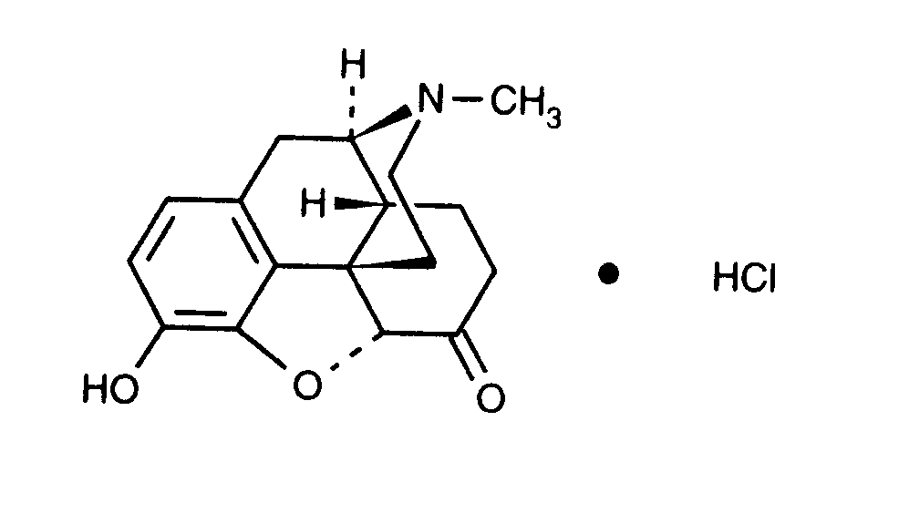
Analgetisk   Hydromorphone hydrochloride  
Injektion
Stabilitet i (vandige) opløsninger Stabilitet i blandinger Faktorer der påvirker stabiliteten Kompatibilitet Administrationsvej Bibliografi pdf
   Kemisk struktur  

Handelsnavn   Handelsnavn     

Handel navne er vejledende og hjælpestoffer sammensætning kan være forskellig afhængigt af landet og laboratorier

Dilaudid Canada, USA
Hydal Østrig
Palladon Danmark, Schweiz
Palladone Storbritanien

Faktorer der påvirker stabiliteten   Injektion   Faktorer der påvirker stabiliteten : Hydromorphone hydrochloride        

  Mentions Légales