Siste oppdatering :
27/04/2026
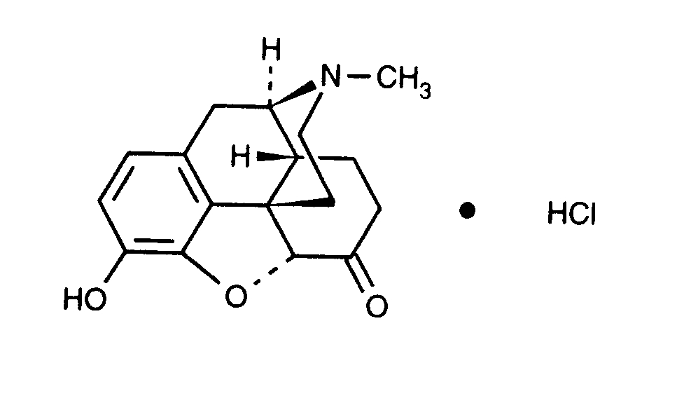
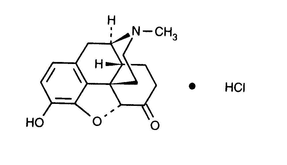
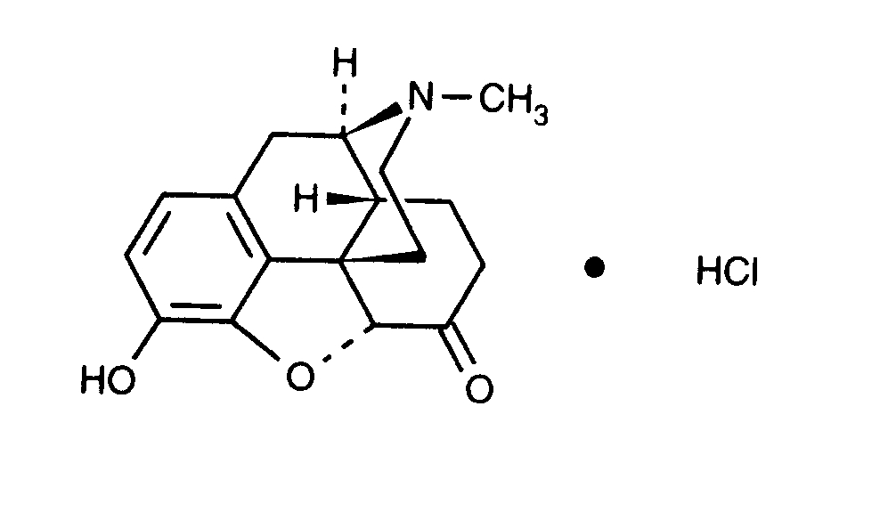
Analgetika   Hydromorphone hydrochloride  
Injeksjon
Oppløsningsstabilitet Stabilitet i blandinger Faktorer som påvirker stabiliteten Kompatibilitet Administrasjonsmåte Referanser pdf
   Kjemisk struktur  

Handelsnavn   Handelsnavn     

Handelsnavn er veiledende og sammensetning av hjelpestoffer kan være forskjellig avhengig av land og produsent

Dilaudid Canada, USA
Hydal Østerrike
Palladon Danmark, Sveits
Palladone Storbritannia

Faktorer som påvirker stabiliteten   Injeksjon   Faktorer som påvirker stabiliteten : Hydromorphone hydrochloride        

  Mentions Légales