最新更新 :
27/04/2026
鎮痛薬   Hydromorphone hydrochloride  
注射薬
溶媒内の安定性 混合時の安定性 安定性に影響する因子 互換性 投与経路 引用文献 PDF
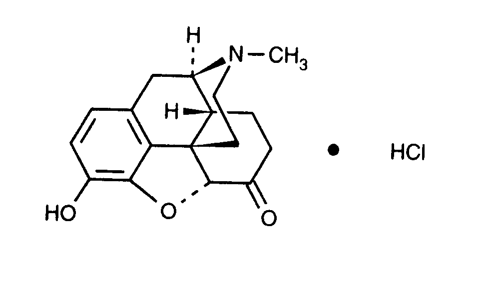
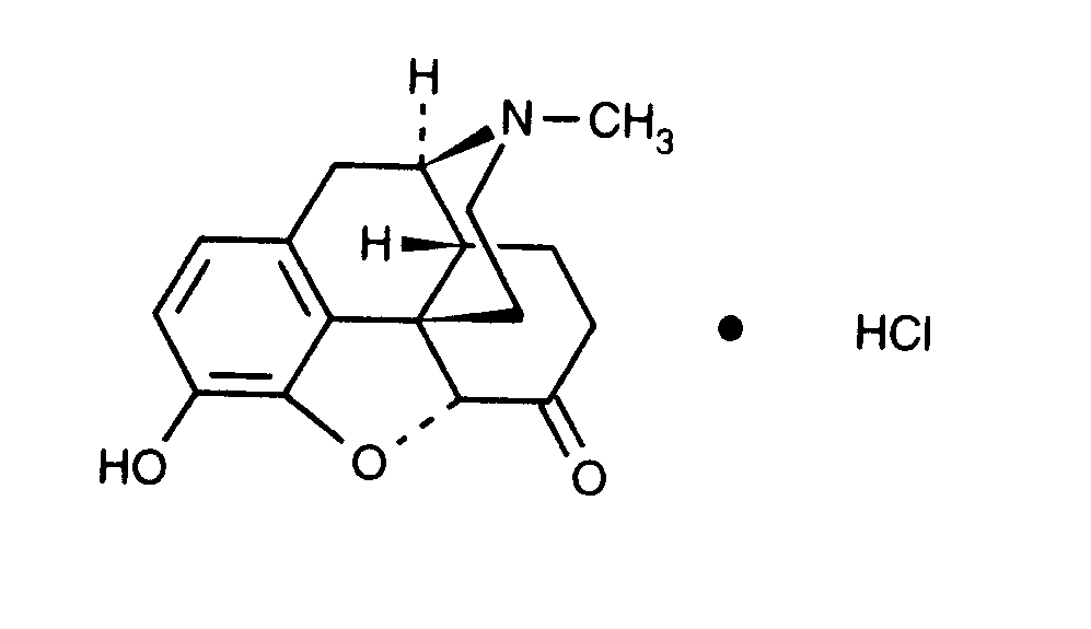
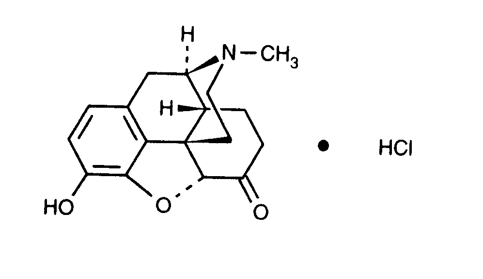
   化学構造  

商品名   商品名     

商品名、賦形剤は国、製薬会社ごとに異なることがあります

Dilaudid アメリカ, カナダ
Hydal オーストリア
Palladon スイス, デンマーク
Palladone イギリス

安定性に影響する因子   注射薬   安定性に影響する因子 : Hydromorphone hydrochloride        

  Mentions Légales