Последнее обновление :
27/04/2026
Анальгетик   Hydromorphone hydrochloride  
Инъекция
Стабильность растворов Стабильность смесей Факторы, которые влияют на стабильность Совместимость Способы введения Библиография pdf
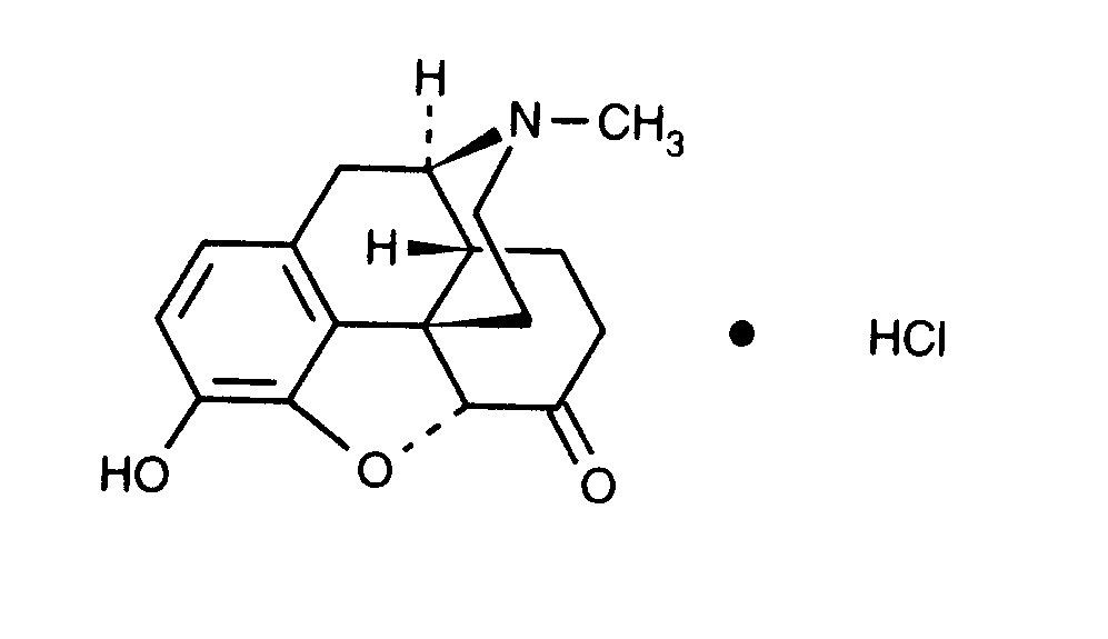
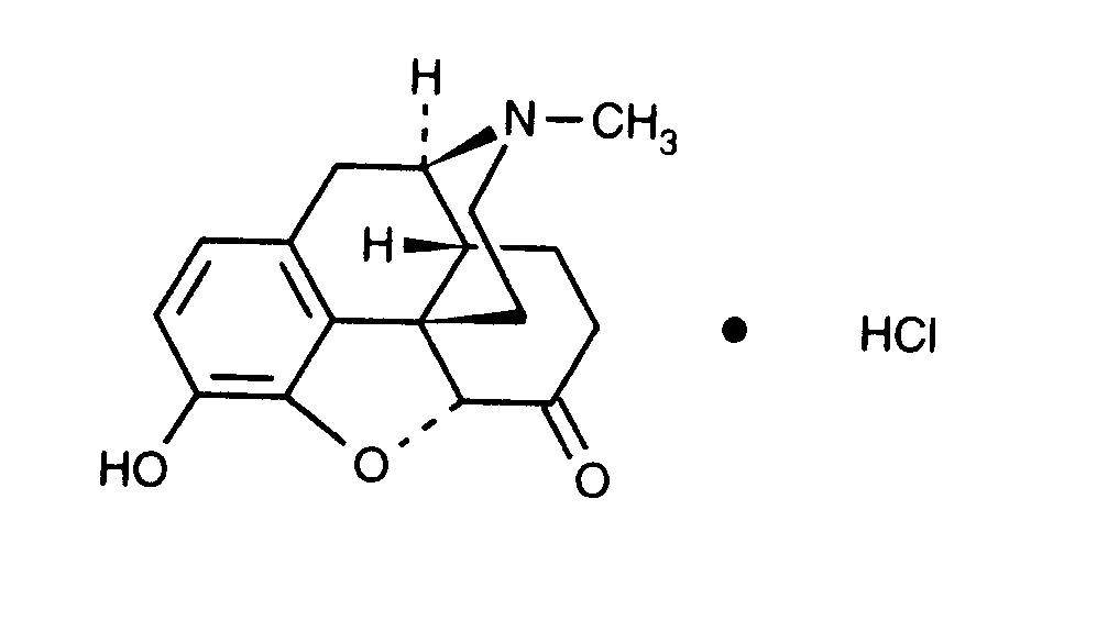
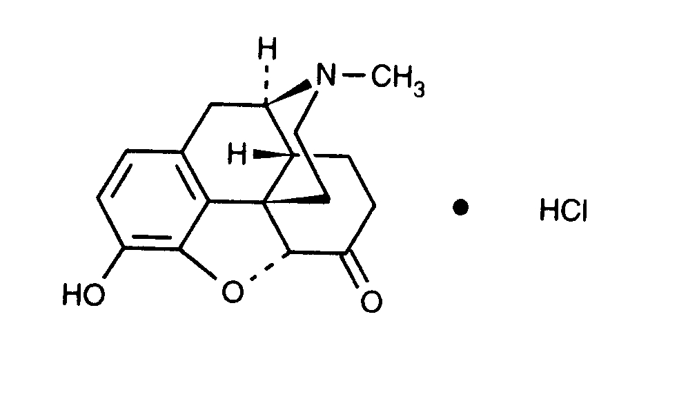
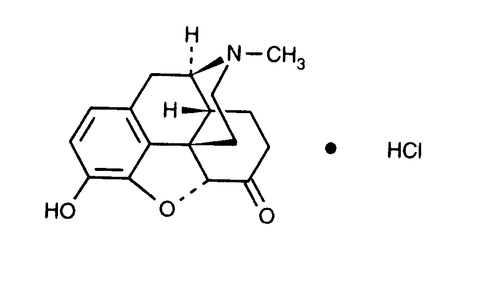
   Химическая структура  

Товарное название   Товарное название     

Trade names are indicative and excipients composition can be different depending on the country and manufacturers

Dilaudid Канада, Соединённые Штаты Америки
Hydal Австрия
Palladon Дания, Швейцария
Palladone Великобритания

Факторы, которые влияют на стабильность   Инъекция   Факторы, которые влияют на стабильность : Hydromorphone hydrochloride        

  Mentions Légales