Poslední aktualizace :
27/04/2026
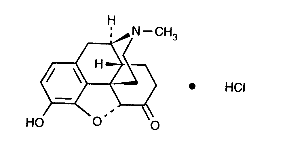
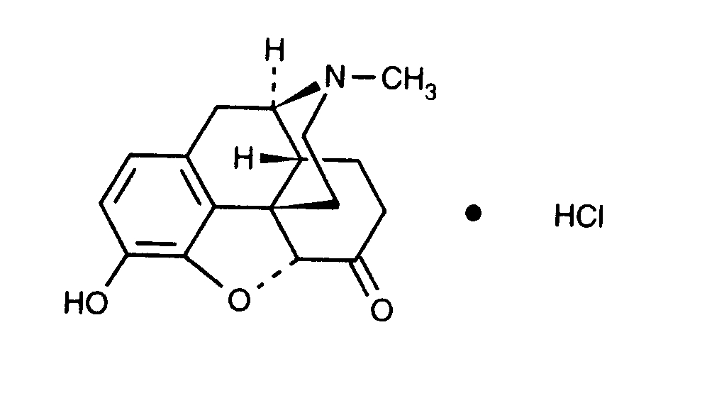
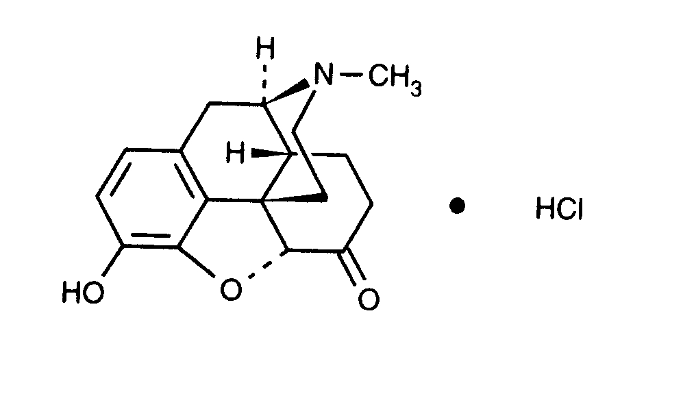
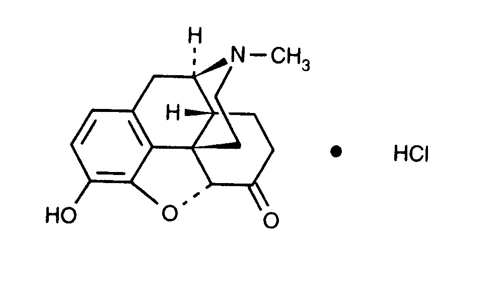
Analgetikum   Hydromorphone hydrochloride  
injekce
Stabilita roztoků Stabilita směsí Faktory ovlivňující stabilitu Kompatibilita Způsoby aplikace Odkazy pdf
   Chemický vzorec  

Obchodní název   Obchodní název     

Trade names are indicative and excipients composition can be different depending on the country and manufacturers

Dilaudid Kanada, USA
Hydal Rakousko
Palladon Dánsko, Švýcarsko
Palladone Velká Británie

Faktory ovlivňující stabilitu   injekce   Faktory ovlivňující stabilitu : Hydromorphone hydrochloride        

  Mentions Légales