zadnja posodobitev :
27/01/2026
Antibiotik   Penicillin G sodium  
Brizgalka
Stabilnost raztopine Stabilnost mešanice Faktorji, ki vplivajo na stabilnost Kompatibilnost način aplikacije Viri pdf
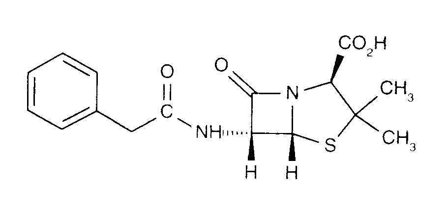
   Kemična formula  

Lastniško ime   Lastniško ime     

Sestava pomožnih snovi je med paralelami lahko različna

Benapen Brazilija
Bencilpenicilina Čile, Ekvador, Peru
Benpen Avstralija, nova Zelandija
Bensylpenicillin Švedska
Benzapen Iran
Benzatec Južnoafriška republika
Benzatron Brazilija
Benzylpenicillin Danska, Egipt, Finska, Norveška, Švedska
Benzylpenicilline Tunizija
Biconcillina Ekvador
Crystapen Irska, Kanada, Velika Britanija
Declin Mehika
Fortepen Savdska Arabija
Geepenil Finska
Natrium penicillin G Nizozemska
Novopen Južnoafriška republika
Pebencil Venezuela
Penbendox Mehika
Penibiot Španija
Penicillin Norveška
Penicillina G sodica Argentina, Čile, Ekvador, Kolumbija, Portugalska
Penilevel Španija
Sodiopen Španija
Unicillina Španija
Stabilnost raztopine   Brizgalka   Stabilnost raztopine : Penicillin G sodium     
Vsebnik Topilo Koncentracija Temperatura Shranjevanje Trajanje stabilnosti Viri
Steklo Voda za injekcije 0.01 MUI/ml 2-8°C Zaščiteno pred svetlobo
7 Dan
4922
 Stopnja dokaza D

Steklo NaCl 0.9% + fenol 0.4% 0.01 MUI/ml 2-8°C Zaščiteno pred svetlobo
2 Dan
4922
 Stopnja dokaza D

Polivinil klorid Voda za injekcije 0,1 & 0,2 MUI/ml 25°C Nedoločeno
3 Dan
13
 Stopnja dokaza B

Polivinil klorid Voda za injekcije 0,18 MUI/ml -20°C Zaščiteno pred svetlobo
30 Dan
440
 Stopnja dokaza D

Polivinil klorid Natrijev klorid 0,9% ?? MUI/ml 5°C Zaščiteno pred svetlobo
2 Dan
1263
 Stopnja dokaza B

Polivinil klorid Natrijev klorid 0,9% 0.0025 MUI/ml 5°C Nedoločeno
21 Dan
3648
 Stopnja dokaza B+

Polivinil klorid Natrijev klorid 0,9% 0.05 MUI/ml 5°C Nedoločeno
21 Dan
3648
 Stopnja dokaza B+

Polivinil klorid Glukoza 5% 0,04 MUI/ml -20°C Zaščiteno pred svetlobo
39 Dan
1241
 Stopnja dokaza B

Polivinil klorid Glukoza 5% 0.0025 MUI/ml 5°C Nedoločeno
21 Dan
3648
 Stopnja dokaza B+

Polivinil klorid Glukoza 5% 0.05 MUI/ml 5°C Nedoločeno
21 Dan
3648
 Stopnja dokaza B+

Brizgalka polipropilen Voda za injekcije 0.01 MUI/ml 2-8°C Zaščiteno pred svetlobo
7 Dan
4922
 Stopnja dokaza D

Brizgalka polipropilen NaCl 0.9% + fenol 0.4% 0.01 MUI/ml 2-8°C Zaščiteno pred svetlobo
2 Dan
4922
 Stopnja dokaza D

Poliizoprenski elastomer Natrijev klorid 0,9% 0.0025 MUI/ml 5°C Nedoločeno
21 Dan
3648
 Stopnja dokaza B+

Poliizoprenski elastomer Natrijev klorid 0,9% 0.05 MUI/ml 5°C Nedoločeno
21 Dan
3648
 Stopnja dokaza B+

Poliizoprenski elastomer Glukoza 5% 0.0025 MUI/ml 5°C Nedoločeno
21 Dan
3648
 Stopnja dokaza B+

Poliizoprenski elastomer Glukoza 5% 0.05 MUI/ml 5°C Nedoločeno
21 Dan
3648
 Stopnja dokaza B+

Poliizoprenski elastomer NaCl 0,9% tamponski citrat 0,3% pH7 0.025 & 0.1 MUI/ml 2-8°C Zaščiteno pred svetlobo
6 Dan
4590
 Stopnja dokaza A

Poliizoprenski elastomer NaCl 0,9% tamponski citrat 0,3% pH7 0.025 & 0.1 MUI/ml 37°C Zaščiteno pred svetlobo
24 čas
4590
 Stopnja dokaza A

Silikonski elastomer NaCl 0,9% tamponski citrat 0,3% pH7 10 MUI/ml 2-8°C Nedoločeno
7 Dan
4874
 Stopnja dokaza D

Silikonski elastomer NaCl 0,9% tamponski citrat 0,3% pH7 20 MUI/ml 2-8°C Nedoločeno
7 Dan
4874
 Stopnja dokaza D

Silikonski elastomer NaCl 0,9% tamponski citrat 0,3% pH7 40 MUI/ml 2-8°C Nedoločeno
7 Dan
4874
 Stopnja dokaza D

Nedoločeno Natrijev klorid 0,9% 0,13 MUI/ml 21°C-22°C Nedoločeno
13 čas
2056
 Stopnja dokaza D

Nedoločeno Natrijev klorid 0,9% 0,13 MUI/ml 26°C Nedoločeno
12 čas
2056
 Stopnja dokaza D

Nedoločeno Natrijev klorid 0,9% 0,13 MUI/ml 3-5°C Nedoločeno
6 Dan
2056
 Stopnja dokaza D

Nedoločeno Natrijev klorid 0,9% 0,13 MUI/ml 36°C Nedoločeno
5 čas
2056
 Stopnja dokaza D


  Mentions Légales