Pēdējā atjaunošana :
27/01/2026
Antibiotika   Penicillin G sodium  
Injekcija
Šķīduma stabilitāte Maisījuma stabilitāte Stabilitāti ietekmējoši faktori Saderība Levadīšanas veids Literatūras saraksts pdf
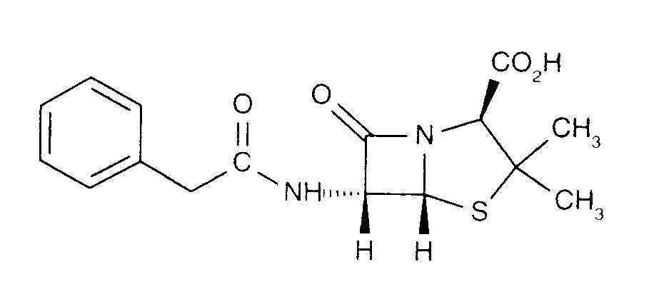
   Ķīmiskā uzbūve   

Oriģinālais nosaukums   Oriģinālais nosaukums     

Tirdzniecības nosaukumi ir apzīmējoši un palīgvielas var atšķirties dažādām valstīm un laboratorijām

Benapen Brazīlija
Bencilpenicilina Čīle, Ekvadora, Peru
Benpen Austrālija, Jaunzēlande
Bensylpenicillin Zviedrija
Benzapen Irāna
Benzatec Dienvidāfrikas Republika
Benzatron Brazīlija
Benzylpenicillin Dānija, Ēģipte, Norvēģija, Somija, Zviedrija
Benzylpenicilline Tunisija
Biconcillina Ekvadora
Crystapen Īrija, Kanāda, Lielbritānija
Declin Meksika
Fortepen Saūda Arābija
Geepenil Somija
Natrium penicillin G Holande
Novopen Dienvidāfrikas Republika
Pebencil Venecuēla
Penbendox Meksika
Penibiot Spānija
Penicillin Norvēģija
Penicillina G sodica Argentīna, Čīle, Ekvadora, Kolumbija, Portugāle
Penilevel Spānija
Sodiopen Spānija
Unicillina Spānija
Šķīduma stabilitāte   Injekcija   Šķīduma stabilitāte : Penicillin G sodium     
Iepakojums Šķīdinātājs Koncentrācija Temperatūra Glabāšana Stabilitātes ilgums Literatūras saraksts
Stikls Ūdens injekcijām 0.01 MUI/ml 2-8°C Aizsargāt no gaismas
7 Diena
4922
Pierādījumu līmenis D

Stikls NaCl 0.9% + fenols 0.4% 0.01 MUI/ml 2-8°C Aizsargāt no gaismas
2 Diena
4922
Pierādījumu līmenis D

Polivinilhlorīds Ūdens injekcijām 0,1 & 0,2 MUI/ml 25°C Nav specifisks
3 Diena
13
Pierādījumu līmenis B

Polivinilhlorīds Ūdens injekcijām 0,18 MUI/ml -20°C Aizsargāt no gaismas
30 Diena
440
Pierādījumu līmenis D

Polivinilhlorīds Nātrija hlorīds 0.9% ?? MUI/ml 5°C Aizsargāt no gaismas
2 Diena
1263
Pierādījumu līmenis B

Polivinilhlorīds Nātrija hlorīds 0.9% 0.0025 MUI/ml 5°C Nav specifisks
21 Diena
3648
Pierādījumu līmenis B+

Polivinilhlorīds Nātrija hlorīds 0.9% 0.05 MUI/ml 5°C Nav specifisks
21 Diena
3648
Pierādījumu līmenis B+

Polivinilhlorīds 5% glikoze 0,04 MUI/ml -20°C Aizsargāt no gaismas
39 Diena
1241
Pierādījumu līmenis B

Polivinilhlorīds 5% glikoze 0.0025 MUI/ml 5°C Nav specifisks
21 Diena
3648
Pierādījumu līmenis B+

Polivinilhlorīds 5% glikoze 0.05 MUI/ml 5°C Nav specifisks
21 Diena
3648
Pierādījumu līmenis B+

Šļirce polipropilēna Ūdens injekcijām 0.01 MUI/ml 2-8°C Aizsargāt no gaismas
7 Diena
4922
Pierādījumu līmenis D

Šļirce polipropilēna NaCl 0.9% + fenols 0.4% 0.01 MUI/ml 2-8°C Aizsargāt no gaismas
2 Diena
4922
Pierādījumu līmenis D

Poliizoprēna elastomērs Nātrija hlorīds 0.9% 0.0025 MUI/ml 5°C Nav specifisks
21 Diena
3648
Pierādījumu līmenis B+

Poliizoprēna elastomērs Nātrija hlorīds 0.9% 0.05 MUI/ml 5°C Nav specifisks
21 Diena
3648
Pierādījumu līmenis B+

Poliizoprēna elastomērs 5% glikoze 0.0025 MUI/ml 5°C Nav specifisks
21 Diena
3648
Pierādījumu līmenis B+

Poliizoprēna elastomērs 5% glikoze 0.05 MUI/ml 5°C Nav specifisks
21 Diena
3648
Pierādījumu līmenis B+

Poliizoprēna elastomērs NaCl 0,9% tamponu citrāts 0,3% pH7 0.025 & 0.1 MUI/ml 2-8°C Aizsargāt no gaismas
6 Diena
4590
Pierādījumu līmenis A

Poliizoprēna elastomērs NaCl 0,9% tamponu citrāts 0,3% pH7 0.025 & 0.1 MUI/ml 37°C Aizsargāt no gaismas
24 Stunda
4590
Pierādījumu līmenis A

Silikona elastomērs NaCl 0,9% tamponu citrāts 0,3% pH7 10 MUI/ml 2-8°C Nav specifisks
7 Diena
4874
Pierādījumu līmenis D

Silikona elastomērs NaCl 0,9% tamponu citrāts 0,3% pH7 20 MUI/ml 2-8°C Nav specifisks
7 Diena
4874
Pierādījumu līmenis D

Silikona elastomērs NaCl 0,9% tamponu citrāts 0,3% pH7 40 MUI/ml 2-8°C Nav specifisks
7 Diena
4874
Pierādījumu līmenis D

Nespecifisks Nātrija hlorīds 0.9% 0,13 MUI/ml 21°C-22°C Nav specifisks
13 Stunda
2056
Pierādījumu līmenis D

Nespecifisks Nātrija hlorīds 0.9% 0,13 MUI/ml 26°C Nav specifisks
12 Stunda
2056
Pierādījumu līmenis D

Nespecifisks Nātrija hlorīds 0.9% 0,13 MUI/ml 3-5°C Nav specifisks
6 Diena
2056
Pierādījumu līmenis D

Nespecifisks Nātrija hlorīds 0.9% 0,13 MUI/ml 36°C Nav specifisks
5 Stunda
2056
Pierādījumu līmenis D


  Mentions Légales