viimane versioon :
27/01/2026
Infostab
ingredientide nimekiri
nimekiri
Sobivus otsing
Y-liini sobivuse tabel
Viited
uurimisrühmad
valistab
plakat
Sidemed
sponsorid
Autor
Kasutusjuhend
ajakiri
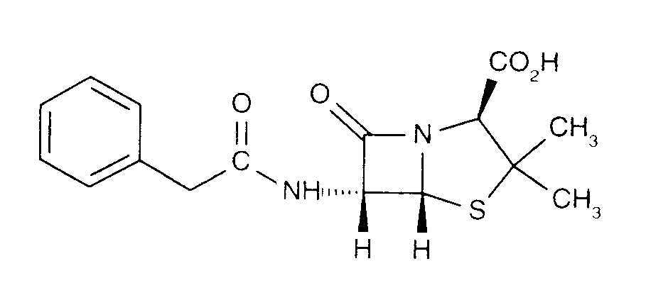
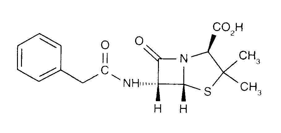
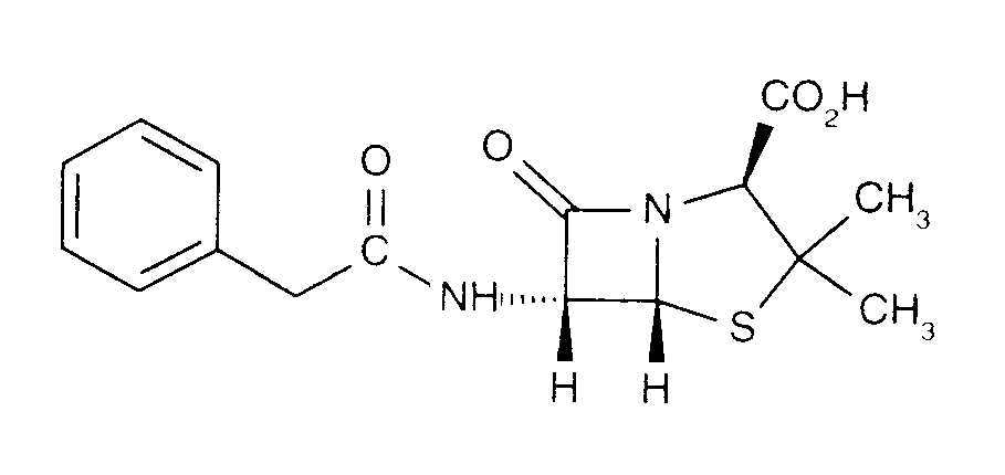
Penicillin G sodium
keemiline struktuur
Kaubanduslikud nimed erinevates maades
Preparaatide nimed on näitlikud ja abianete sisaldus võib erineda sõltuvalt riigist ja laborist
Benapen
Brasiilia
Bencilpenicilina
Ecuador, Maroko, Tšiili
Benpen
Austraalia, uus-Meremaa
Bensylpenicillin
Rootsi
Benzapen
Iraan
Benzatec
Lõuna Aafrika Vabariik
Benzatron
Brasiilia
Benzylpenicillin
Egiptus, Norra, Rootsi, Soome, Taani
Benzylpenicilline
Tuneesia
Biconcillina
Ecuador
Crystapen
Iirimaa, Kanada, Suurbritannia
Declin
Mehhiko
Fortepen
Saudi Araabia
Geepenil
Soome
Natrium penicillin G
Holland
Novopen
Lõuna Aafrika Vabariik
Pebencil
Venetsueela
Penbendox
Mehhiko
Penibiot
Hispaania
Penicillin
Norra
Penicillina G sodica
Argentiina, Ecuador, Kolumbia, Portugal, Tšiili
Penilevel
Hispaania
Sodiopen
Hispaania
Unicillina
Hispaania
Stabiilsus lahustes : Penicillin G sodium
0.01 MUI/ml
2-8°C
7
4922
0.01 MUI/ml
2-8°C
2
4922
0,1 & 0,2 MUI/ml
25°C
3
13
0,18 MUI/ml
-20°C
30
440
?? MUI/ml
5°C
2
1263
0.0025 MUI/ml
5°C
21
3648
0.05 MUI/ml
5°C
21
3648
0,04 MUI/ml
-20°C
39
1241
0.0025 MUI/ml
5°C
21
3648
0.05 MUI/ml
5°C
21
3648
0.01 MUI/ml
2-8°C
7
4922
0.01 MUI/ml
2-8°C
2
4922
0.0025 MUI/ml
5°C
21
3648
0.05 MUI/ml
5°C
21
3648
0.0025 MUI/ml
5°C
21
3648
0.05 MUI/ml
5°C
21
3648
0.025 & 0.1 MUI/ml
2-8°C
6
4590
0.025 & 0.1 MUI/ml
37°C
24
4590
10 MUI/ml
2-8°C
7
4874
20 MUI/ml
2-8°C
7
4874
40 MUI/ml
2-8°C
7
4874
0,13 MUI/ml
21°C-22°C
13
2056
0,13 MUI/ml
26°C
12
2056
0,13 MUI/ml
3-5°C
6
2056
0,13 MUI/ml
36°C
5
2056
Mentions Légales