Siste oppdatering :
18/03/2026
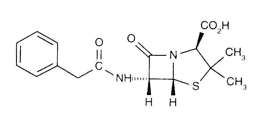
Antibiotika   Penicillin G sodium  
Injeksjon
Oppløsningsstabilitet Stabilitet i blandinger Faktorer som påvirker stabiliteten Kompatibilitet Administrasjonsmåte Referanser pdf
   Kjemisk struktur  

Handelsnavn   Handelsnavn     

Handelsnavn er veiledende og sammensetning av hjelpestoffer kan være forskjellig avhengig av land og produsent

Benapen Brasil
Bencilpenicilina Chile, Ecuador, Peru
Benpen Australia, New Zealand
Bensylpenicillin Sverige
Benzapen Iran
Benzatec Sør-Afrika
Benzatron Brasil
Benzylpenicillin Danmark, Egypt, Finland, Norge, Sverige
Benzylpenicilline Tunisia
Biconcillina Ecuador
Crystapen Canada, Irland, Storbritannia
Declin Mexico
Fortepen Saudi-Arabia
Geepenil Finland
Natrium penicillin G Nederland
Novopen Sør-Afrika
Pebencil Venezuela
Penbendox Mexico
Penibiot Spania
Penicillin Norge
Penicillina G sodica Argentina, Chile, Colombia, Ecuador, Portugal
Penilevel Spania
Sodiopen Spania
Unicillina Spania
Oppløsningsstabilitet   Injeksjon   Oppløsningsstabilitet : Penicillin G sodium     
Beholder Oppløsningsmiddel Konsentrasjon Temperatur Oppbevaring Varighet av stabilitet Referanser
Glass Vann til injeksjon 0.01 MUI/ml 2-8°C Beskyttes mot lys
7 Dag
4922
Bevisgrad D

Glass NaCl 0.9% + fenol 0.4% 0.01 MUI/ml 2-8°C Beskyttes mot lys
2 Dag
4922
Bevisgrad D

Polyvinylklorid Vann til injeksjon 0,1 & 0,2 MUI/ml 25°C Ikke angitt
3 Dag
13
Bevisgrad B

Polyvinylklorid Vann til injeksjon 0,18 MUI/ml -20°C Beskyttes mot lys
30 Dag
440
Bevisgrad D

Polyvinylklorid Natriumklorid 0,9 % ?? MUI/ml 5°C Beskyttes mot lys
2 Dag
1263
Bevisgrad B

Polyvinylklorid Natriumklorid 0,9 % 0.0025 MUI/ml 5°C Ikke angitt
21 Dag
3648
Bevisgrad B+

Polyvinylklorid Natriumklorid 0,9 % 0.05 MUI/ml 5°C Ikke angitt
21 Dag
3648
Bevisgrad B+

Polyvinylklorid Glukose 5 % 0,04 MUI/ml -20°C Beskyttes mot lys
39 Dag
1241
Bevisgrad B

Polyvinylklorid Glukose 5 % 0.0025 MUI/ml 5°C Ikke angitt
21 Dag
3648
Bevisgrad B+

Polyvinylklorid Glukose 5 % 0.05 MUI/ml 5°C Ikke angitt
21 Dag
3648
Bevisgrad B+

Sprøyte polypropylen Vann til injeksjon 0.01 MUI/ml 2-8°C Beskyttes mot lys
7 Dag
4922
Bevisgrad D

Sprøyte polypropylen NaCl 0.9% + fenol 0.4% 0.01 MUI/ml 2-8°C Beskyttes mot lys
2 Dag
4922
Bevisgrad D

Polyisopren elastomer Natriumklorid 0,9 % 0.0025 MUI/ml 5°C Ikke angitt
21 Dag
3648
Bevisgrad B+

Polyisopren elastomer Natriumklorid 0,9 % 0.05 MUI/ml 5°C Ikke angitt
21 Dag
3648
Bevisgrad B+

Polyisopren elastomer Glukose 5 % 0.0025 MUI/ml 5°C Ikke angitt
21 Dag
3648
Bevisgrad B+

Polyisopren elastomer Glukose 5 % 0.05 MUI/ml 5°C Ikke angitt
21 Dag
3648
Bevisgrad B+

Polyisopren elastomer NaCl 0,9% tamponsitrat 0,3% pH 7 0.025 & 0.1 MUI/ml 2-8°C Beskyttes mot lys
6 Dag
4590
Bevisgrad A

Polyisopren elastomer NaCl 0,9% tamponsitrat 0,3% pH 7 0.025 & 0.1 MUI/ml 37°C Beskyttes mot lys
24 Tid
4590
Bevisgrad A

Silikon elastomer NaCl 0,9% tamponsitrat 0,3% pH 7 10 MUI/ml 2-8°C Ikke angitt
7 Dag
4874
Bevisgrad D

Silikon elastomer NaCl 0,9% tamponsitrat 0,3% pH 7 20 MUI/ml 2-8°C Ikke angitt
7 Dag
4874
Bevisgrad D

Silikon elastomer NaCl 0,9% tamponsitrat 0,3% pH 7 40 MUI/ml 2-8°C Ikke angitt
7 Dag
4874
Bevisgrad D

Ikke angitt Natriumklorid 0,9 % 0,13 MUI/ml 21°C-22°C Ikke angitt
13 Tid
2056
Bevisgrad D

Ikke angitt Natriumklorid 0,9 % 0,13 MUI/ml 26°C Ikke angitt
12 Tid
2056
Bevisgrad D

Ikke angitt Natriumklorid 0,9 % 0,13 MUI/ml 3-5°C Ikke angitt
6 Dag
2056
Bevisgrad D

Ikke angitt Natriumklorid 0,9 % 0,13 MUI/ml 36°C Ikke angitt
5 Tid
2056
Bevisgrad D


  Mentions Légales