Seneste opdatering :
18/03/2026
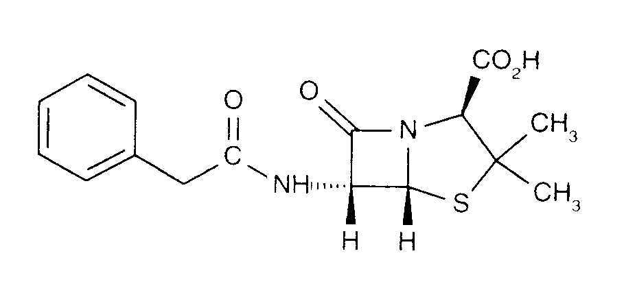
Antibiotisk   Penicillin G sodium  
Injektion
Stabilitet i (vandige) opløsninger Stabilitet i blandinger Faktorer der påvirker stabiliteten Kompatibilitet Administrationsvej Bibliografi pdf
   Kemisk struktur  

Handelsnavn   Handelsnavn     

Handel navne er vejledende og hjælpestoffer sammensætning kan være forskellig afhængigt af landet og laboratorier

Benapen Brasilien
Bencilpenicilina Chile, Ecuador, Marokko
Benpen Australien, New Zealand
Bensylpenicillin Sverige
Benzapen Iran
Benzatec Sydafrika
Benzatron Brasilien
Benzylpenicillin Danmark, Finland, Norge, Sverige, Ægypten
Benzylpenicilline Tunesien
Biconcillina Ecuador
Crystapen Canada, Irland, Storbritanien
Declin Mexico
Fortepen Saudi-Arabien
Geepenil Finland
Natrium penicillin G Holland
Novopen Sydafrika
Pebencil Venezuela
Penbendox Mexico
Penibiot Spanien
Penicillin Norge
Penicillina G sodica Argentina, Chile, Colombia, Ecuador, Portugal
Penilevel Spanien
Sodiopen Spanien
Unicillina Spanien
Stabilitet i (vandige) opløsninger   Injektion   Stabilitet i (vandige) opløsninger : Penicillin G sodium     
Beholder Opløsningsmiddel Koncentration Temperatur Konservering Varighed af stabilitet Bibliografi
Glas Vand til injektion 0.01 MUI/ml 2-8°C Beskyt mod lys
7 Dag
4922
Level af bevismateriale D

Glas NaCl 0.9% + phenol 0.4% 0.01 MUI/ml 2-8°C Beskyt mod lys
2 Dag
4922
Level af bevismateriale D

Polyvinylklorid Vand til injektion 0,1 & 0,2 MUI/ml 25°C Ikke nærmere angivet
3 Dag
13
Level af bevismateriale B

Polyvinylklorid Vand til injektion 0,18 MUI/ml -20°C Beskyt mod lys
30 Dag
440
Level af bevismateriale D

Polyvinylklorid 0,9 % Natriumklorid ?? MUI/ml 5°C Beskyt mod lys
2 Dag
1263
Level af bevismateriale B

Polyvinylklorid 0,9 % Natriumklorid 0.0025 MUI/ml 5°C Ikke nærmere angivet
21 Dag
3648
Level af bevismateriale B+

Polyvinylklorid 0,9 % Natriumklorid 0.05 MUI/ml 5°C Ikke nærmere angivet
21 Dag
3648
Level af bevismateriale B+

Polyvinylklorid 5 % Glukose 0,04 MUI/ml -20°C Beskyt mod lys
39 Dag
1241
Level af bevismateriale B

Polyvinylklorid 5 % Glukose 0.0025 MUI/ml 5°C Ikke nærmere angivet
21 Dag
3648
Level af bevismateriale B+

Polyvinylklorid 5 % Glukose 0.05 MUI/ml 5°C Ikke nærmere angivet
21 Dag
3648
Level af bevismateriale B+

sprøjte polypropylen Vand til injektion 0.01 MUI/ml 2-8°C Beskyt mod lys
7 Dag
4922
Level af bevismateriale D

sprøjte polypropylen NaCl 0.9% + phenol 0.4% 0.01 MUI/ml 2-8°C Beskyt mod lys
2 Dag
4922
Level af bevismateriale D

Polyisopren elastomer 0,9 % Natriumklorid 0.0025 MUI/ml 5°C Ikke nærmere angivet
21 Dag
3648
Level af bevismateriale B+

Polyisopren elastomer 0,9 % Natriumklorid 0.05 MUI/ml 5°C Ikke nærmere angivet
21 Dag
3648
Level af bevismateriale B+

Polyisopren elastomer 5 % Glukose 0.0025 MUI/ml 5°C Ikke nærmere angivet
21 Dag
3648
Level af bevismateriale B+

Polyisopren elastomer 5 % Glukose 0.05 MUI/ml 5°C Ikke nærmere angivet
21 Dag
3648
Level af bevismateriale B+

Polyisopren elastomer NaCl 0,9% citratbuffer 0,3% pH 7 0.025 & 0.1 MUI/ml 2-8°C Beskyt mod lys
6 Dag
4590
Level af bevismateriale A

Polyisopren elastomer NaCl 0,9% citratbuffer 0,3% pH 7 0.025 & 0.1 MUI/ml 37°C Beskyt mod lys
24 Time
4590
Level af bevismateriale A

Elastomer i silikone NaCl 0,9% citratbuffer 0,3% pH 7 10 MUI/ml 2-8°C Ikke nærmere angivet
7 Dag
4874
Level af bevismateriale D

Elastomer i silikone NaCl 0,9% citratbuffer 0,3% pH 7 20 MUI/ml 2-8°C Ikke nærmere angivet
7 Dag
4874
Level af bevismateriale D

Elastomer i silikone NaCl 0,9% citratbuffer 0,3% pH 7 40 MUI/ml 2-8°C Ikke nærmere angivet
7 Dag
4874
Level af bevismateriale D

Ikke angivet nærmere 0,9 % Natriumklorid 0,13 MUI/ml 21°C-22°C Ikke nærmere angivet
13 Time
2056
Level af bevismateriale D

Ikke angivet nærmere 0,9 % Natriumklorid 0,13 MUI/ml 26°C Ikke nærmere angivet
12 Time
2056
Level af bevismateriale D

Ikke angivet nærmere 0,9 % Natriumklorid 0,13 MUI/ml 3-5°C Ikke nærmere angivet
6 Dag
2056
Level af bevismateriale D

Ikke angivet nærmere 0,9 % Natriumklorid 0,13 MUI/ml 36°C Ikke nærmere angivet
5 Time
2056
Level af bevismateriale D


  Mentions Légales