آخر تحديث :
27/01/2026
مضاد حيوي   Penicillin G sodium  
حقن
الاستقرار في حلول استقرار مخاليط العوامل التي تؤثر على الاستقرار التوافق طريقة التعاطي مراجع pdf
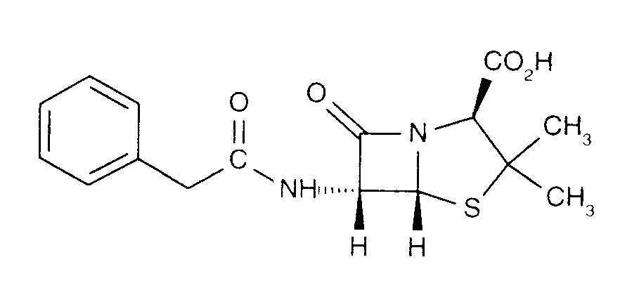
   التركيب الكيميائي  

حجز الاسم التجاري   حجز الاسم التجاري     

تحذير الأسماء التجاريه المختلفه قد تحتوي علي محتوي إضافات مختلفة حسب الدوله و المعمل

Benapen البرازيل
Bencilpenicilina الإكوادور, بيرو, تشيلي
Benpen أستراليا, زيلاندا الجديدة
Bensylpenicillin السويد
Benzapen إيران
Benzatec جمهورية جنوب أفريقيا
Benzatron البرازيل
Benzylpenicillin الدنمارك, السويد, النرويج, فنلندا, مصر
Benzylpenicilline تونس
Biconcillina الإكوادور
Crystapen ايرلندا, بريطانيا العظمي, كندا
Declin المكسيك
Fortepen العربية السعودية
Geepenil فنلندا
Natrium penicillin G هولندا
Novopen جمهورية جنوب أفريقيا
Pebencil فنزويلا
Penbendox المكسيك
Penibiot إسبانيا
Penicillin النرويج
Penicillina G sodica الأرجنتين, الإكوادور, البرتغال, تشيلي, كولومبيا
Penilevel إسبانيا
Sodiopen إسبانيا
Unicillina إسبانيا
الاستقرار في حلول   حقن   الاستقرار في حلول : Penicillin G sodium     
حاوية مذيب تركيز درجة الحرارة تخزين مدة الاستقرار مراجع
زجاج حقن المياه لل 0.01 MUI/ml 2-8°C بعيدا عن الضوء
7 يوم
4922
D مستوى الأدلة

زجاج NaCl 0.9% + الفينول % 0.4% 0.01 MUI/ml 2-8°C بعيدا عن الضوء
2 يوم
4922
D مستوى الأدلة

البولي فينيل كلوريد حقن المياه لل 0,1 & 0,2 MUI/ml 25°C لم يتم تحديد
3 يوم
13
B مستوى الأدلة

البولي فينيل كلوريد حقن المياه لل 0,18 MUI/ml -20°C بعيدا عن الضوء
30 يوم
440
D مستوى الأدلة

البولي فينيل كلوريد كلوريد الصوديوم 0.9% ?? MUI/ml 5°C بعيدا عن الضوء
2 يوم
1263
B مستوى الأدلة

البولي فينيل كلوريد كلوريد الصوديوم 0.9% 0.0025 MUI/ml 5°C لم يتم تحديد
21 يوم
3648
B+ مستوى الأدلة

البولي فينيل كلوريد كلوريد الصوديوم 0.9% 0.05 MUI/ml 5°C لم يتم تحديد
21 يوم
3648
B+ مستوى الأدلة

البولي فينيل كلوريد الجلوكوز %5 0,04 MUI/ml -20°C بعيدا عن الضوء
39 يوم
1241
B مستوى الأدلة

البولي فينيل كلوريد الجلوكوز %5 0.0025 MUI/ml 5°C لم يتم تحديد
21 يوم
3648
B+ مستوى الأدلة

البولي فينيل كلوريد الجلوكوز %5 0.05 MUI/ml 5°C لم يتم تحديد
21 يوم
3648
B+ مستوى الأدلة

محقنة البولي بروبلين حقن المياه لل 0.01 MUI/ml 2-8°C بعيدا عن الضوء
7 يوم
4922
D مستوى الأدلة

محقنة البولي بروبلين NaCl 0.9% + الفينول % 0.4% 0.01 MUI/ml 2-8°C بعيدا عن الضوء
2 يوم
4922
D مستوى الأدلة

ولي إيزوبرين إلاستومر كلوريد الصوديوم 0.9% 0.0025 MUI/ml 5°C لم يتم تحديد
21 يوم
3648
B+ مستوى الأدلة

ولي إيزوبرين إلاستومر كلوريد الصوديوم 0.9% 0.05 MUI/ml 5°C لم يتم تحديد
21 يوم
3648
B+ مستوى الأدلة

ولي إيزوبرين إلاستومر الجلوكوز %5 0.0025 MUI/ml 5°C لم يتم تحديد
21 يوم
3648
B+ مستوى الأدلة

ولي إيزوبرين إلاستومر الجلوكوز %5 0.05 MUI/ml 5°C لم يتم تحديد
21 يوم
3648
B+ مستوى الأدلة

ولي إيزوبرين إلاستومر  عازلة سترات 0.3٪ NaCl 0.9٪ 0.025 & 0.1 MUI/ml 2-8°C بعيدا عن الضوء
6 يوم
4590
A مستوى الأدلة

ولي إيزوبرين إلاستومر  عازلة سترات 0.3٪ NaCl 0.9٪ 0.025 & 0.1 MUI/ml 37°C بعيدا عن الضوء
24 ساعة
4590
A مستوى الأدلة

مطاط السيليكون  عازلة سترات 0.3٪ NaCl 0.9٪ 10 MUI/ml 2-8°C لم يتم تحديد
7 يوم
4874
D مستوى الأدلة

مطاط السيليكون  عازلة سترات 0.3٪ NaCl 0.9٪ 20 MUI/ml 2-8°C لم يتم تحديد
7 يوم
4874
D مستوى الأدلة

مطاط السيليكون  عازلة سترات 0.3٪ NaCl 0.9٪ 40 MUI/ml 2-8°C لم يتم تحديد
7 يوم
4874
D مستوى الأدلة

لم يتم تحديد كلوريد الصوديوم 0.9% 0,13 MUI/ml 21°C-22°C لم يتم تحديد
13 ساعة
2056
D مستوى الأدلة

لم يتم تحديد كلوريد الصوديوم 0.9% 0,13 MUI/ml 26°C لم يتم تحديد
12 ساعة
2056
D مستوى الأدلة

لم يتم تحديد كلوريد الصوديوم 0.9% 0,13 MUI/ml 3-5°C لم يتم تحديد
6 يوم
2056
D مستوى الأدلة

لم يتم تحديد كلوريد الصوديوم 0.9% 0,13 MUI/ml 36°C لم يتم تحديد
5 ساعة
2056
D مستوى الأدلة


  Mentions Légales