Viimeisin päivitys :
12/12/2025
Antibiootit   Penicillin G sodium  
Injektioneste
Stabilius liuoksessa Stabilius seoksissa Tekijät, jotka vaikuttavat stabiliuteen Yhteensopivuus Antotapa Viitteet pdf
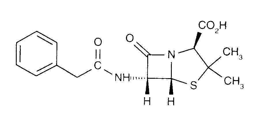
   Kemiallinen rakenne  

Kauppanimi   Kauppanimi     

Trade names are indicative and excipients composition can be different depending on the country and manufacturers

Benapen Brasilia
Bencilpenicilina Chile, Ecuador, Marokko
Benpen Australia, New Zealand
Bensylpenicillin Ruotsi
Benzapen Iran
Benzatec Etelä-Afrikka
Benzatron Brasilia
Benzylpenicillin Egypti, Norja, Ruotsi, Suomi, Tanska
Benzylpenicilline Tunisia
Biconcillina Ecuador
Crystapen Irlanti, Iso-Britannia, Kanada
Declin Meksiko
Fortepen Saudi-Arabia
Geepenil Suomi
Natrium penicillin G Hollanti
Novopen Etelä-Afrikka
Pebencil Venezuela
Penbendox Meksiko
Penibiot Espanja
Penicillin Norja
Penicillina G sodica Argentiina, Chile, Ecuador, Kolumbia, Portugali
Penilevel Espanja
Sodiopen Espanja
Unicillina Espanja
Stabilius liuoksessa   Injektioneste   Stabilius liuoksessa : Penicillin G sodium     
Astia Liuotin Konsentraatio Lämpötila Säilytys Vakauden kesto Viitteet
Lasi Injektionesteisiin käytettävä vesi 0.01 MUI/ml 2-8°C Suojattava valolta
7 Päivä
4922
Näytön laajuus D

Lasi NaCl 0.9% + fenoli 0.4% 0.01 MUI/ml 2-8°C Suojattava valolta
2 Päivä
4922
Näytön laajuus D

Polyvinyylikloridi Injektionesteisiin käytettävä vesi 0,1 & 0,2 MUI/ml 25°C Ei määritetty
3 Päivä
13
Näytön laajuus B

Polyvinyylikloridi Injektionesteisiin käytettävä vesi 0,18 MUI/ml -20°C Suojattava valolta
30 Päivä
440
Näytön laajuus D

Polyvinyylikloridi Natriumkloridi 0,9% ?? MUI/ml 5°C Suojattava valolta
2 Päivä
1263
Näytön laajuus B

Polyvinyylikloridi Natriumkloridi 0,9% 0.0025 MUI/ml 5°C Ei määritetty
21 Päivä
3648
Näytön laajuus B+

Polyvinyylikloridi Natriumkloridi 0,9% 0.05 MUI/ml 5°C Ei määritetty
21 Päivä
3648
Näytön laajuus B+

Polyvinyylikloridi Glukoosi 5% 0,04 MUI/ml -20°C Suojattava valolta
39 Päivä
1241
Näytön laajuus B

Polyvinyylikloridi Glukoosi 5% 0.0025 MUI/ml 5°C Ei määritetty
21 Päivä
3648
Näytön laajuus B+

Polyvinyylikloridi Glukoosi 5% 0.05 MUI/ml 5°C Ei määritetty
21 Päivä
3648
Näytön laajuus B+

Ruisku  polypropeeni Injektionesteisiin käytettävä vesi 0.01 MUI/ml 2-8°C Suojattava valolta
7 Päivä
4922
Näytön laajuus D

Ruisku  polypropeeni NaCl 0.9% + fenoli 0.4% 0.01 MUI/ml 2-8°C Suojattava valolta
2 Päivä
4922
Näytön laajuus D

Polyisopreeni elastomeeri Natriumkloridi 0,9% 0.0025 MUI/ml 5°C Ei määritetty
21 Päivä
3648
Näytön laajuus B+

Polyisopreeni elastomeeri Natriumkloridi 0,9% 0.05 MUI/ml 5°C Ei määritetty
21 Päivä
3648
Näytön laajuus B+

Polyisopreeni elastomeeri Glukoosi 5% 0.0025 MUI/ml 5°C Ei määritetty
21 Päivä
3648
Näytön laajuus B+

Polyisopreeni elastomeeri Glukoosi 5% 0.05 MUI/ml 5°C Ei määritetty
21 Päivä
3648
Näytön laajuus B+

Polyisopreeni elastomeeri NaCl 0,9% tamponisitraatti 0,3% pH7 0.025 & 0.1 MUI/ml 2-8°C Suojattava valolta
6 Päivä
4590
Näytön laajuus A

Polyisopreeni elastomeeri NaCl 0,9% tamponisitraatti 0,3% pH7 0.025 & 0.1 MUI/ml 37°C Suojattava valolta
24 tunti
4590
Näytön laajuus A

Silikoni elastomeeri NaCl 0,9% tamponisitraatti 0,3% pH7 10 MUI/ml 2-8°C Ei määritetty
7 Päivä
4874
Näytön laajuus D

Silikoni elastomeeri NaCl 0,9% tamponisitraatti 0,3% pH7 20 MUI/ml 2-8°C Ei määritetty
7 Päivä
4874
Näytön laajuus D

Silikoni elastomeeri NaCl 0,9% tamponisitraatti 0,3% pH7 40 MUI/ml 2-8°C Ei määritetty
7 Päivä
4874
Näytön laajuus D

Ei määritetty Natriumkloridi 0,9% 0,13 MUI/ml 21°C-22°C Ei määritetty
13 tunti
2056
Näytön laajuus D

Ei määritetty Natriumkloridi 0,9% 0,13 MUI/ml 26°C Ei määritetty
12 tunti
2056
Näytön laajuus D

Ei määritetty Natriumkloridi 0,9% 0,13 MUI/ml 3-5°C Ei määritetty
6 Päivä
2056
Näytön laajuus D

Ei määritetty Natriumkloridi 0,9% 0,13 MUI/ml 36°C Ei määritetty
5 tunti
2056
Näytön laajuus D


  Mentions Légales