Posledná aktualizácia :
27/01/2026
antibiotikum   Penicillin G sodium  
Injekcia
Stabilita roztokov Stabilita v zmesiach Faktory ovplyvňujúce stabilitu Kompatibility spôsob podania Odkazy na literatúru PDF
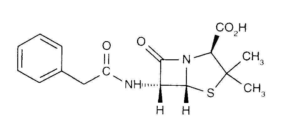
   Chemický vzorec  

Obchodný názov   Obchodný názov     

Obchodné názvy sú orientačné, a zloženie pomocných látok sa môže líšiť v závislosti od krajiny a výrobcu.

Benapen Brazília
Bencilpenicilina Čile, Ekvádor, peru
Benpen Austrália, nový Zéland
Bensylpenicillin Švédsko
Benzapen Irán
Benzatec Juhoafrická republika
Benzatron Brazília
Benzylpenicillin Dánsko, Egypt, Fínsko, Nórsko, Švédsko
Benzylpenicilline Tunisko
Biconcillina Ekvádor
Crystapen Írsko, Kanada, Veľká Británia
Declin Mexiko
Fortepen Saudská Arábia
Geepenil Fínsko
Natrium penicillin G Holandsko
Novopen Juhoafrická republika
Pebencil Venezuela
Penbendox Mexiko
Penibiot Španielsko
Penicillin Nórsko
Penicillina G sodica Argentína, Čile, Ekvádor, Kolumbia, Portugalsko
Penilevel Španielsko
Sodiopen Španielsko
Unicillina Španielsko
Stabilita roztokov   Injekcia   Stabilita roztokov : Penicillin G sodium     
obal rozpúšťadlo koncentrácia teplota uchovávanie Trvanie stability odkazy na lieteratúru
Sklo voda na injekciu 0.01 MUI/ml 2-8°C Chránené pred svetlom
7 dní
4922
Úroveň dôkazov D

Sklo NaCl 0.9% + fenol 0.4% 0.01 MUI/ml 2-8°C Chránené pred svetlom
2 dní
4922
Úroveň dôkazov D

polyvinylchlorid (PVC) voda na injekciu 0,1 & 0,2 MUI/ml 25°C nešpecifikované
3 dní
13
Úroveň dôkazov B

polyvinylchlorid (PVC) voda na injekciu 0,18 MUI/ml -20°C Chránené pred svetlom
30 dní
440
Úroveň dôkazov D

polyvinylchlorid (PVC) 0,9% chlorid sodný ?? MUI/ml 5°C Chránené pred svetlom
2 dní
1263
Úroveň dôkazov B

polyvinylchlorid (PVC) 0,9% chlorid sodný 0.0025 MUI/ml 5°C nešpecifikované
21 dní
3648
Úroveň dôkazov B+

polyvinylchlorid (PVC) 0,9% chlorid sodný 0.05 MUI/ml 5°C nešpecifikované
21 dní
3648
Úroveň dôkazov B+

polyvinylchlorid (PVC) 5% glukóza 0,04 MUI/ml -20°C Chránené pred svetlom
39 dní
1241
Úroveň dôkazov B

polyvinylchlorid (PVC) 5% glukóza 0.0025 MUI/ml 5°C nešpecifikované
21 dní
3648
Úroveň dôkazov B+

polyvinylchlorid (PVC) 5% glukóza 0.05 MUI/ml 5°C nešpecifikované
21 dní
3648
Úroveň dôkazov B+

Injekčná striekačka polypropylén voda na injekciu 0.01 MUI/ml 2-8°C Chránené pred svetlom
7 dní
4922
Úroveň dôkazov D

Injekčná striekačka polypropylén NaCl 0.9% + fenol 0.4% 0.01 MUI/ml 2-8°C Chránené pred svetlom
2 dní
4922
Úroveň dôkazov D

Polyizoprénový elastomer 0,9% chlorid sodný 0.0025 MUI/ml 5°C nešpecifikované
21 dní
3648
Úroveň dôkazov B+

Polyizoprénový elastomer 0,9% chlorid sodný 0.05 MUI/ml 5°C nešpecifikované
21 dní
3648
Úroveň dôkazov B+

Polyizoprénový elastomer 5% glukóza 0.0025 MUI/ml 5°C nešpecifikované
21 dní
3648
Úroveň dôkazov B+

Polyizoprénový elastomer 5% glukóza 0.05 MUI/ml 5°C nešpecifikované
21 dní
3648
Úroveň dôkazov B+

Polyizoprénový elastomer NaCl 0,9% tampon citrát 0,3% pH7 0.025 & 0.1 MUI/ml 2-8°C Chránené pred svetlom
6 dní
4590
Úroveň dôkazov A

Polyizoprénový elastomer NaCl 0,9% tampon citrát 0,3% pH7 0.025 & 0.1 MUI/ml 37°C Chránené pred svetlom
24 hodín
4590
Úroveň dôkazov A

Silikónový elastomer NaCl 0,9% tampon citrát 0,3% pH7 10 MUI/ml 2-8°C nešpecifikované
7 dní
4874
Úroveň dôkazov D

Silikónový elastomer NaCl 0,9% tampon citrát 0,3% pH7 20 MUI/ml 2-8°C nešpecifikované
7 dní
4874
Úroveň dôkazov D

Silikónový elastomer NaCl 0,9% tampon citrát 0,3% pH7 40 MUI/ml 2-8°C nešpecifikované
7 dní
4874
Úroveň dôkazov D

nešpecifikované 0,9% chlorid sodný 0,13 MUI/ml 21°C-22°C nešpecifikované
13 hodín
2056
Úroveň dôkazov D

nešpecifikované 0,9% chlorid sodný 0,13 MUI/ml 26°C nešpecifikované
12 hodín
2056
Úroveň dôkazov D

nešpecifikované 0,9% chlorid sodný 0,13 MUI/ml 3-5°C nešpecifikované
6 dní
2056
Úroveň dôkazov D

nešpecifikované 0,9% chlorid sodný 0,13 MUI/ml 36°C nešpecifikované
5 hodín
2056
Úroveň dôkazov D


  Mentions Légales