Utolsó frissítés :
27/04/2026
Antibiotikum   Penicillin G sodium  
Injekció
Az oldatok stabilitása A keverékek stabilitása Stabilitást befolyásoló tényezők Kompatibilitás Az alkalmazás módja Irodalom pdf
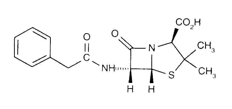
   Kémiai szerkezet   

Kereskedelmi név   Kereskedelmi név     

A kereskedelmi név meghatározó jelentőségű: a készítmények összetétele országonként, előállítóként eltérő lehet

Benapen Brazília
Bencilpenicilina Chile, Ecuador, Peru
Benpen Ausztrália, új-Zéland
Bensylpenicillin Svédország
Benzapen Irán
Benzatec Dél-Afrikai Köztársaság
Benzatron Brazília
Benzylpenicillin Dánia, Egyiptom, Finnország, Norvégia, Svédország
Benzylpenicilline Tunézia
Biconcillina Ecuador
Crystapen Írország, Kanada, Nagy-Britannia
Declin Mexikó
Fortepen Szaúd-Arábiában
Geepenil Finnország
Natrium penicillin G Hollandia
Novopen Dél-Afrikai Köztársaság
Pebencil Venezuela
Penbendox Mexikó
Penibiot Spanyolország
Penicillin Norvégia
Penicillina G sodica Argentína, Chile, Colombia, Ecuador, Portugália
Penilevel Spanyolország
Sodiopen Spanyolország
Unicillina Spanyolország
Az oldatok stabilitása   Injekció   Az oldatok stabilitása : Penicillin G sodium     
Csomagolás Oldószer Koncentráció Hőmérséklet Tárolás A stabilitás időtartama Irodalom
Üveg Injekcióhoz való víz 0.01 MUI/ml 2-8°C Fénytől védve tartandó
7 Nap
4922
Szintű bizonyítékot D

Üveg NaCl 0.9% + fenol 0.4% 0.01 MUI/ml 2-8°C Fénytől védve tartandó
2 Nap
4922
Szintű bizonyítékot D

Poli(vinilklorid) Injekcióhoz való víz 0,1 & 0,2 MUI/ml 25°C Nincs meghatározva
3 Nap
13
Szintű bizonyítékot B

Poli(vinilklorid) Injekcióhoz való víz 0,18 MUI/ml -20°C Fénytől védve tartandó
30 Nap
440
Szintű bizonyítékot D

Poli(vinilklorid) 0,9% nátrium-klorid ?? MUI/ml 5°C Fénytől védve tartandó
2 Nap
1263
Szintű bizonyítékot B

Poli(vinilklorid) 0,9% nátrium-klorid 0.0025 MUI/ml 5°C Nincs meghatározva
21 Nap
3648
Szintű bizonyítékot B+

Poli(vinilklorid) 0,9% nátrium-klorid 0.05 MUI/ml 5°C Nincs meghatározva
21 Nap
3648
Szintű bizonyítékot B+

Poli(vinilklorid) 5% glükóz 0,04 MUI/ml -20°C Fénytől védve tartandó
39 Nap
1241
Szintű bizonyítékot B

Poli(vinilklorid) 5% glükóz 0.0025 MUI/ml 5°C Nincs meghatározva
21 Nap
3648
Szintű bizonyítékot B+

Poli(vinilklorid) 5% glükóz 0.05 MUI/ml 5°C Nincs meghatározva
21 Nap
3648
Szintű bizonyítékot B+

fecskendő polipropilén Injekcióhoz való víz 0.01 MUI/ml 2-8°C Fénytől védve tartandó
7 Nap
4922
Szintű bizonyítékot D

fecskendő polipropilén NaCl 0.9% + fenol 0.4% 0.01 MUI/ml 2-8°C Fénytől védve tartandó
2 Nap
4922
Szintű bizonyítékot D

Poliizoprén elasztomer 0,9% nátrium-klorid 0.0025 MUI/ml 5°C Nincs meghatározva
21 Nap
3648
Szintű bizonyítékot B+

Poliizoprén elasztomer 0,9% nátrium-klorid 0.05 MUI/ml 5°C Nincs meghatározva
21 Nap
3648
Szintű bizonyítékot B+

Poliizoprén elasztomer 5% glükóz 0.0025 MUI/ml 5°C Nincs meghatározva
21 Nap
3648
Szintű bizonyítékot B+

Poliizoprén elasztomer 5% glükóz 0.05 MUI/ml 5°C Nincs meghatározva
21 Nap
3648
Szintű bizonyítékot B+

Poliizoprén elasztomer NaCl 0,9% tampon-citrát 0,3% pH7 0.025 & 0.1 MUI/ml 2-8°C Fénytől védve tartandó
6 Nap
4590
Szintű bizonyítékot A

Poliizoprén elasztomer NaCl 0,9% tampon-citrát 0,3% pH7 0.025 & 0.1 MUI/ml 37°C Fénytől védve tartandó
24 Óra
4590
Szintű bizonyítékot A

Szilikon elasztomer NaCl 0,9% tampon-citrát 0,3% pH7 10 MUI/ml 2-8°C Nincs meghatározva
7 Nap
4874
Szintű bizonyítékot D

Szilikon elasztomer NaCl 0,9% tampon-citrát 0,3% pH7 20 MUI/ml 2-8°C Nincs meghatározva
7 Nap
4874
Szintű bizonyítékot D

Szilikon elasztomer NaCl 0,9% tampon-citrát 0,3% pH7 40 MUI/ml 2-8°C Nincs meghatározva
7 Nap
4874
Szintű bizonyítékot D

Nincs meghatározva 0,9% nátrium-klorid 0,13 MUI/ml 21°C-22°C Nincs meghatározva
13 Óra
2056
Szintű bizonyítékot D

Nincs meghatározva 0,9% nátrium-klorid 0,13 MUI/ml 26°C Nincs meghatározva
12 Óra
2056
Szintű bizonyítékot D

Nincs meghatározva 0,9% nátrium-klorid 0,13 MUI/ml 3-5°C Nincs meghatározva
6 Nap
2056
Szintű bizonyítékot D

Nincs meghatározva 0,9% nátrium-klorid 0,13 MUI/ml 36°C Nincs meghatározva
5 Óra
2056
Szintű bizonyítékot D


  Mentions Légales