Son güncelleme :
27/04/2026
kanser ilaç   Etoposide phosphate  
Enjeksiyon
Çözeltilerin stabilitesi Karışımlardaki stabilitesi Stabiliteyi etkileyen faktörler Uyumluluk Uygulama yöntemi Kaynaklar pdf
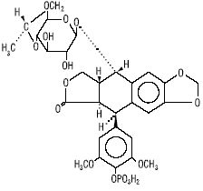
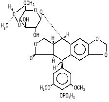
   Kimyasal yapı   

Ticari isim   Ticari isim     

Trade names are indicative and excipients composition can be different depending on the country and manufacturers

Etopofos Avusturya, İsveç, Yunanistan
Etopophos Almanya, Amerika Birleşik Devletleri, Belçika, Bulgaristan, Büyük Britanya, Fransa, Hollanda, İsrail, İsviçre, Lüksemburg, Polonya, yeni Zelanda
Uygulama yöntemi   Uygulama yöntemi :Etoposide phosphate     
Voie
İntravenöz
İntravenöz infüzyon

  Mentions Légales