Utolsó frissítés :
27/04/2026
rákellenes gyógyszer   Etoposide phosphate  
Injekció
Az oldatok stabilitása A keverékek stabilitása Stabilitást befolyásoló tényezők Kompatibilitás Az alkalmazás módja Irodalom pdf
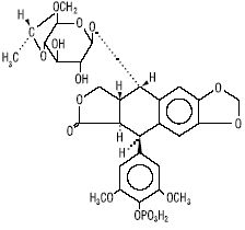
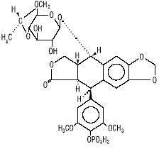
   Kémiai szerkezet   

Kereskedelmi név   Kereskedelmi név     

A kereskedelmi név meghatározó jelentőségű: a készítmények összetétele országonként, előállítóként eltérő lehet

Etopofos Ausztria, Görögország, Svédország
Etopophos Amerikai Egyesült Államok, Belgium, Bulgária, Franciaország, Hollandia, Israel, Lengyelország, Luxemburg, Nagy-Britannia, Németország, Svájc, új-Zéland
Az alkalmazás módja   Az alkalmazás módja :Etoposide phosphate     
Voie
Intravénás
Intravénás infúzió

  Mentions Légales