最新更新 :
27/04/2026
抗癌藥物   Etoposide phosphate  
注射液
溶液稳定性 混合物稳定性 影响稳定性的因素 兼容性 用药途径 引用文献 PDF
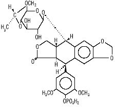
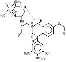
   化学式  

商品名   商品名     

商品名仅供参考, 药品所用的辅料可能依国家或厂商不同有所不同。

Etopofos 奥地利, 希腊, 瑞典
Etopophos 以色列, 保加利亚, 卢森堡, 德国, 新西蘭, 比利时, 法国, 波兰, 瑞士, 美国, 英国, 荷兰
用药途径   用药途径 :Etoposide phosphate     
路线
静脉注射
静脉输液

  Mentions Légales