zadnja posodobitev :
27/04/2026
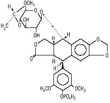
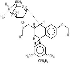
rak drog   Etoposide phosphate  
Brizgalka
Stabilnost raztopine Stabilnost mešanice Faktorji, ki vplivajo na stabilnost Kompatibilnost način aplikacije Viri pdf
   Kemična formula  

Lastniško ime   Lastniško ime     

Sestava pomožnih snovi je med paralelami lahko različna

Etopofos Avstrija, Grčija, Švedska
Etopophos Belgija, Bolgarija, Francija, Izrael, Luksemburg, Nemčija, Nizozemska, nova Zelandija, Poljska, Švica, Velika Britanija, Združene države Amerike
način aplikacije   način aplikacije :Etoposide phosphate     
Voie
Intravensko
Intravenska infuzija

  Mentions Légales