Senaste uppdateringen :
27/04/2026
cancerläkemedel   Etoposide phosphate  
injektion
Lösningars stabilitet Stabilitet i blandningar Faktorer som påverkar stabiliteten Kompatibilitet Administreringssätt Hänvisningar pdf
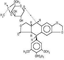
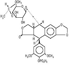
   Molekylstruktur  

Varunamn   Varunamn     

Angivna handelsnamn på läkemedel är enbart vägledande då formulering inklusive hjälpämnen kan variera mellan länder och tillverkare

Etopofos Grekland, Österrike, Sverige
Etopophos Belgien, Bulgarien, Förenta Staterna, Frankrike, Israel, Luxemburg, Nederländerna, nya Zeeland, Polen, Schweiz, Storbritannien, Tyskland
Administreringssätt   Administreringssätt :Etoposide phosphate     
Voie
Intravenös
Intravenös infusion

  Mentions Légales