Poslední aktualizace :
27/04/2026
vėžio narkotikų   Etoposide phosphate  
Įpurškimas
Tirpalų stabilumas Mišinių stabilumas Stabilumą lemiantys veiksniai Suderinamumas Leidimo būdai Bibliografija pdf
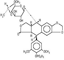
   Cheminė sandara  

Prekinis pavadinimas   Prekinis pavadinimas     

Trade names are indicative and excipients composition can be different depending on the country and manufacturers

Etopofos Austrija, Graikija, Švedija
Etopophos Belgija, Bulgarija, Didžioji Britanija, Israël, Jungtinės Amerikos Valstijos, Lenkija, Liuksemburgas, Naujojoje Zelandijoje, Olandija, Prancūzija, Šveicarija, Vokietija
Leidimo būdai   Leidimo būdai :Etoposide phosphate     
Voie
Intraveninis
Intraveninė infuzija

  Mentions Légales