Pēdējā atjaunošana :
27/04/2026
vēzis narkotiku   Etoposide phosphate  
Injekcija
Šķīduma stabilitāte Maisījuma stabilitāte Stabilitāti ietekmējoši faktori Saderība Levadīšanas veids Literatūras saraksts pdf
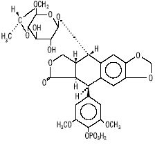
   Ķīmiskā uzbūve   

Oriģinālais nosaukums   Oriģinālais nosaukums     

Tirdzniecības nosaukumi ir apzīmējoši un palīgvielas var atšķirties dažādām valstīm un laboratorijām

Etopofos Austrija, Grieķija, Zviedrija
Etopophos Amerikas Savienotās Valstis, Beļģija, Bulgārija, Francija, Holande, Izraēla, Jaunzēlande, Lielbritānija, Luksemburga, Polija, Šveice, Vācija
Levadīšanas veids   Levadīšanas veids :Etoposide phosphate     
Voie
Intravenozi
Intravenoza infūzija

  Mentions Légales