Last update :
27/04/2026
Anticancer drug   Etoposide phosphate  
injection
Stability in solutions Stability of mixtures Factors which affect stability Compatibility Route of administration References pdf
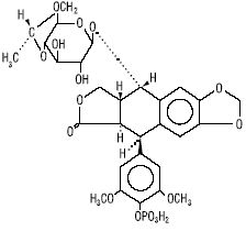
   Chemical structure  

Tradename   Tradename     

Trade names are indicative and excipients composition can be different depending on the country and manufacturers

Etopofos Austria, Greece, Sweden
Etopophos Belgium, Bulgaria, France, Germany, Great Britain, Israel, Luxembourg, Netherlands, New Zealand, Poland, Switzerland, United States of America
Route of administration   Route of administration :Etoposide phosphate     
Route
Intravenous
Intravenous infusion

  Mentions Légales