Última actualização :
27/04/2026
droga contra o câncer   Etoposide phosphate  
injetável
Estabilidade em soluções simples Estabilidade em misturas Factores que afectam a sua estabilidade Compatibilidade Método de administração Bibliografía pdf
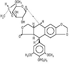
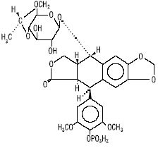
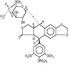
   estrutura química  

Nomes comerciais nos diversos países   Nomes comerciais nos diversos países     

OS NOMES COMERCIAIS SÃO INDICATIVOS E OS EXCIPIENTES DA FORMULAÇÃO PODEM SER DIFERENTES CONFORME O PAÍS E FABRICANTE.

Etopofos Austria, Grècia, Suècia
Etopophos Alemanha, Bélgica, Bulgária, Estados Unidos de América, França, Gran-bretanha, Israel, Luxemburgo, nova Zelândia, Países Baixos, Polonia, Suicia
Método de administração   Método de administração :Etoposide phosphate     
Voie
intravenoso
perfusão intravenosa

  Mentions Légales