viimane versioon :
27/04/2026
vähiravimite   Etoposide phosphate  
Süsteravim
Stabiilsus lahustes Stabiilsust mõjutavad tegurid stabiilsust mõjutavad faktorid Sobimatus Manustamis viis Viited pdf
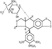
   keemiline struktuur  

Kaubanduslikud nimed erinevates maades   Kaubanduslikud nimed erinevates maades     

Preparaatide nimed on näitlikud ja abianete sisaldus võib erineda sõltuvalt riigist ja laborist

Etopofos Austria, Kreeka, Rootsi
Etopophos Ameerika ühendriigid, Belgia, Bulgaaria, Holland, Iisrael, Luksemburg, Poola, Prantsusmaa, Saksamaa, Suurbritannia, Sveits, uus-Meremaa
Manustamis viis   Manustamis viis :Etoposide phosphate     
Voie
intravenoosne
intravenoosne infusioon

  Mentions Légales