Seneste opdatering :
27/04/2026
anticancer medicin   Etoposide phosphate  
Injektion
Stabilitet i (vandige) opløsninger Stabilitet i blandinger Faktorer der påvirker stabiliteten Kompatibilitet Administrationsvej Bibliografi pdf
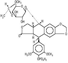
   Kemisk struktur  

Handelsnavn   Handelsnavn     

Handel navne er vejledende og hjælpestoffer sammensætning kan være forskellig afhængigt af landet og laboratorier

Etopofos Grækenland, Sverige, Østrig
Etopophos Belgien, Bulgarien, Frankrig, Holland, Israel, Luxemborg, New Zealand, Polen, Schweiz, Storbritanien, Tyskland, USA
Administrationsvej   Administrationsvej :Etoposide phosphate     
Voie
Intravenøs
Intravenøs infusion

  Mentions Légales