Останнє оновлення :
27/04/2026
Імунодепресант   Ciclosporin  
ін'єкція
Мазі Очні краплі Розчин для перорального застосування
Стійкість в розчинах Стійкість сумішей Фактори, що впливають на стабільність Сумісність Шлях введення Список літератури pdf
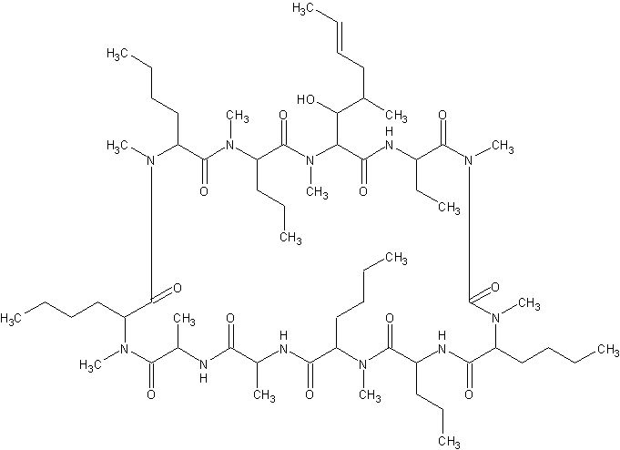
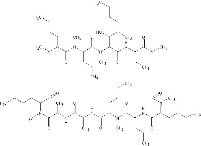
   Хімічна структура  

Торгова назва   Торгова назва     

Торгові назви є орієнтовними, а склад допоміжних речовин може бути різним залежно від країни та виробника

Cyclosporine Канада, Сполучені Штати Америки
Graftin Індія
Sandimmum Іран, Ірландія, Ісландія, Іспанія, Італія, Австрія, Австралія, Аргентина, Бельгія, Великобританія, Греція, Данія, Колумбія, Люксембург, Малайзія, Марокко, Мексика, Німеччина, Нова Зеландія, Норвегія, Об'єднані Арабські Емірати, Перу, Польща, Португалія, Саудівська Аравія, Туніс, Туреччина, Угорщина, Фінляндія, Чилі, Швейцарія, Швеція
Стійкість в розчинах   ін'єкція   Стійкість в розчинах : Ciclosporin     
Контейнер Розчинник Концентрація температура Зберігання Тривалість стабільності Список літератури
скло Натрію хлорид 0,9% 2 mg/ml 24°C Зі світлом чи без
12 годину
454
Рівень доказовості D

скло Глюкоза 5% 2 mg/ml 24°C світло
48 годину
471
Рівень доказовості D

скло Глюкоза 5% 2 mg/ml 24°C Зі світлом чи без
24 годину
454
Рівень доказовості D

скло Глюкоза 5% 2 mg/ml 6°C Берегти від світла
48 годину
471
Рівень доказовості D

Поліолефін Натрію хлорид 0,9% 0,2 mg/ml 23-27°C Не визначено
14 День
3229
Рівень доказовості А+

Поліолефін Натрію хлорид 0,9% 2,5 mg/ml 23-27°C Не визначено
14 День
3229
Рівень доказовості А+

Поліолефін Глюкоза 5% 0,2 mg/ml 23-27°C Не визначено
14 День
3229
Рівень доказовості А+

Поліолефін Глюкоза 5% 2,5 mg/ml 23-27°C Не визначено
14 День
3229
Рівень доказовості А+

Етиленвінілацетат Натрію хлорид 0,9% 0,2 mg/ml 25°C Не визначено
7 День
3476
Рівень доказовості B+

Етиленвінілацетат Натрію хлорид 0,9% 2,5 mg/ml 25°C Не визначено
14 День
3476
Рівень доказовості B+

Етиленвінілацетат Глюкоза 5% 0,2 mg/ml 25°C Не визначено
7 День
3476
Рівень доказовості B+

Етиленвінілацетат Глюкоза 5% 2,5 mg/ml 25°C Не визначено
14 День
3476
Рівень доказовості B+


  Mentions Légales