最新更新 :
27/04/2026
免疫抑制薬   Ciclosporin  
注射薬
点眼薬 経口液 軟膏薬
溶媒内の安定性 混合時の安定性 安定性に影響する因子 互換性 投与経路 引用文献 PDF
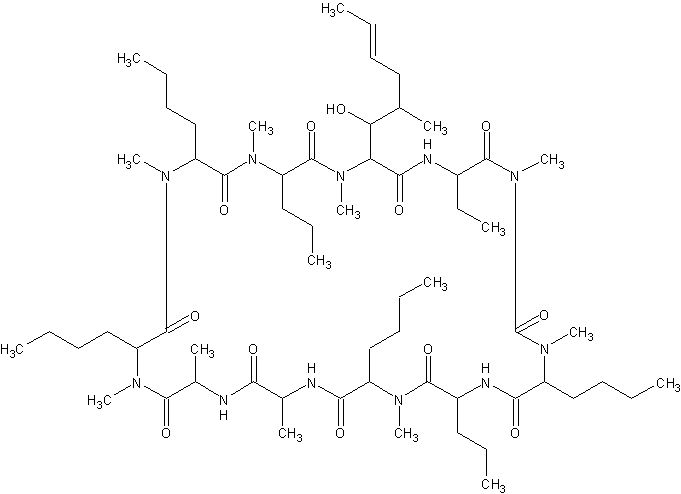
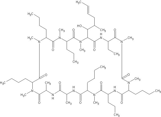
   化学構造  

商品名   商品名     

商品名、賦形剤は国、製薬会社ごとに異なることがあります

Cyclosporine アメリカ, カナダ
Graftin インド
Sandimmum アイスランド, アイルランド, アラブ首長国連邦, アルゼンチン, アーストラリア, イギリス, イタリア, イラン, オーストリア, ギリシア, コロンビア, サウジアラビア, スイス, スウェーデン, スペイン, チュニジア, チリ, デンマーク, トルコ, ドイツ, ニュージーランド, ノルウェー, ハンガリー, フィンランド, ベルギー, ペルー, ポルトガル, ポーランド, マレーシア, メキシコ, モロッコ, ルクセンブルグ
溶媒内の安定性   注射薬   溶媒内の安定性 : Ciclosporin     
容器 溶媒 濃度 温度 保管 安定期間 引用文献
ガラス NaCl 0,9% 2 mg/ml 24°C 光/遮光
12 時間
454
エビデンスレベル D

ガラス グルコース5% 2 mg/ml 24°C 光
48 時間
471
エビデンスレベル D

ガラス グルコース5% 2 mg/ml 24°C 光/遮光
24 時間
454
エビデンスレベル D

ガラス グルコース5% 2 mg/ml 6°C 遮光
48 時間
471
エビデンスレベル D

ポリオレフィン NaCl 0,9% 0,2 mg/ml 23-27°C 特記なし
14 日
3229
エビデンスレベル A+

ポリオレフィン NaCl 0,9% 2,5 mg/ml 23-27°C 特記なし
14 日
3229
エビデンスレベル A+

ポリオレフィン グルコース5% 0,2 mg/ml 23-27°C 特記なし
14 日
3229
エビデンスレベル A+

ポリオレフィン グルコース5% 2,5 mg/ml 23-27°C 特記なし
14 日
3229
エビデンスレベル A+

エチレン酢酸ビニル NaCl 0,9% 0,2 mg/ml 25°C 特記なし
7 日
3476
エビデンスレベル B+

エチレン酢酸ビニル NaCl 0,9% 2,5 mg/ml 25°C 特記なし
14 日
3476
エビデンスレベル B+

エチレン酢酸ビニル グルコース5% 0,2 mg/ml 25°C 特記なし
7 日
3476
エビデンスレベル B+

エチレン酢酸ビニル グルコース5% 2,5 mg/ml 25°C 特記なし
14 日
3476
エビデンスレベル B+


  Mentions Légales