Última actualización :
27/04/2026
Inmunosupresor   Ciclosporin  
Inyectables
Gotas oculares Preparaciones tópicas Solución Oral
Estabilidad en solucion Estabilidad en mezcla Factores que influyen sobre la estabilidad Compatibilidades método de inyección Bibliografía pdf
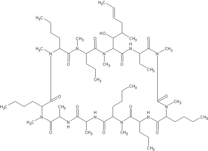
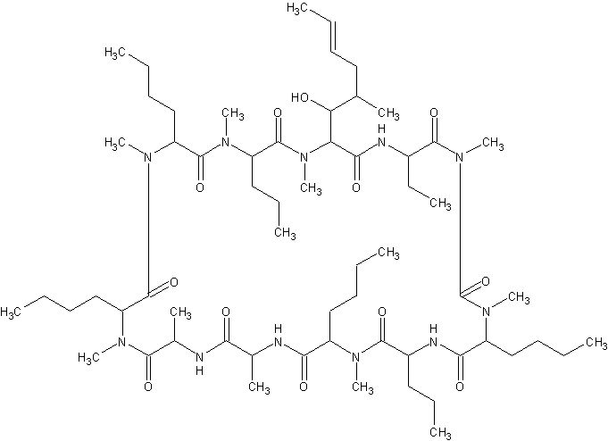
   Estructura química  

Nombre comercial   Nombre comercial     

Los nombres comerciales son orientativos y los excipientes de la formulación pueden ser distintos dependiendo del país y del laboratorio fabricante.

Cyclosporine Canadá, Estados Unidos de América
Graftin India
Sandimmum Alemania, Arabia Saudita, Argentina, Australia, Austria, Bélgica, Chile, Colombia, Dinamarca, Emiratos Árabes Unidos, España, Finlandia, Gran Bretaña, Grecia, Hungría, Irán, Irlanda, Islandia, Italia, Luxemburgo, Malasia, Marruecos, Marruecos, México, Noruega, Nueva Zelanda, Polonia, Portugal, Suecia, Suiza, Túnez, Turquía
Estabilidad en solucion   Inyectables   Estabilidad en solucion : Ciclosporin     
Envase Solvente Concentración Temperatura Conservación Duración de la estabilidad Bibliografía
Vidrio Cloruro de sodio 0,9% 2 mg/ml 24°C Con o sin luz
12 Hora
454
Nivel de evidencia D

Vidrio Glucosa 5% 2 mg/ml 24°C Luz
48 Hora
471
Nivel de evidencia D

Vidrio Glucosa 5% 2 mg/ml 24°C Con o sin luz
24 Hora
454
Nivel de evidencia D

Vidrio Glucosa 5% 2 mg/ml 6°C A cubierto de la luz
48 Hora
471
Nivel de evidencia D

Poliolefina Cloruro de sodio 0,9% 0,2 mg/ml 23-27°C No precisada
14 Día
3229
Nivel de evidencia A+

Poliolefina Cloruro de sodio 0,9% 2,5 mg/ml 23-27°C No precisada
14 Día
3229
Nivel de evidencia A+

Poliolefina Glucosa 5% 0,2 mg/ml 23-27°C No precisada
14 Día
3229
Nivel de evidencia A+

Poliolefina Glucosa 5% 2,5 mg/ml 23-27°C No precisada
14 Día
3229
Nivel de evidencia A+

Etilén-vinil-acetato Cloruro de sodio 0,9% 0,2 mg/ml 25°C No precisada
7 Día
3476
Nivel de evidencia B+

Etilén-vinil-acetato Cloruro de sodio 0,9% 2,5 mg/ml 25°C No precisada
14 Día
3476
Nivel de evidencia B+

Etilén-vinil-acetato Glucosa 5% 0,2 mg/ml 25°C No precisada
7 Día
3476
Nivel de evidencia B+

Etilén-vinil-acetato Glucosa 5% 2,5 mg/ml 25°C No precisada
14 Día
3476
Nivel de evidencia B+


  Mentions Légales