Последно актуализиране :
27/04/2026
Имунопотискащ   Ciclosporin  
Инжекция/Инжекционен
Капки за очи Орален разтвор Унгвент/Унгвенти
Стабилност на разтвори Стабилност на смеси Фактори, повлияващи стабилността Съвместимост Път на въвеждане Библиография Pdf
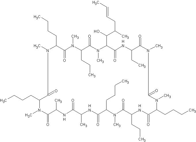
   Химична структура  

Търговско наименование   Търговско наименование     

Търговските имена са примерни и съставът на помощните вещества може да бъде различен в зависимост от държавата и лабораториите

Cyclosporine Канада, Съединени Американски щати / САЩ
Graftin Индия
Sandimmum Австралия, Австрия, Аржентина, Белгия, Великобритания, Германия, Гърция, Дания, Иран, Ирландия, Исландия, Испания, Италия, Колумбия, Люксенбург, Малайзия, Мароко, Мексико, нова Зеландия, Норвегия, Обединени арабски емирства, Перу, Полша, Португалия, Саудитска Арабия, Тунис, Турция, Унгария, Финландия, Чили, Швейцария, Швеция
Стабилност на разтвори   Инжекция/Инжекционен   Стабилност на разтвори : Ciclosporin     
Контейнер Разтворител Концентрация Температура Съхранение Продължителност на стабилността Библиография
Стъкло Sodium chloride 0,9% 2 mg/ml 24°C С или без светлина
12 Час
454
Степен на доказаност D

Стъкло Glucose 5% 2 mg/ml 24°C Светлина
48 Час
471
Степен на доказаност D

Стъкло Glucose 5% 2 mg/ml 24°C С или без светлина
24 Час
454
Степен на доказаност D

Стъкло Glucose 5% 2 mg/ml 6°C Защита от светлина
48 Час
471
Степен на доказаност D

Полиолефин Sodium chloride 0,9% 0,2 mg/ml 23-27°C Не е уточнено
14 Ден
3229
Степен на доказаност A+

Полиолефин Sodium chloride 0,9% 2,5 mg/ml 23-27°C Не е уточнено
14 Ден
3229
Степен на доказаност A+

Полиолефин Glucose 5% 0,2 mg/ml 23-27°C Не е уточнено
14 Ден
3229
Степен на доказаност A+

Полиолефин Glucose 5% 2,5 mg/ml 23-27°C Не е уточнено
14 Ден
3229
Степен на доказаност A+

Етилен винил ацетат Sodium chloride 0,9% 0,2 mg/ml 25°C Не е уточнено
7 Ден
3476
Степен на доказаност B+

Етилен винил ацетат Sodium chloride 0,9% 2,5 mg/ml 25°C Не е уточнено
14 Ден
3476
Степен на доказаност B+

Етилен винил ацетат Glucose 5% 0,2 mg/ml 25°C Не е уточнено
7 Ден
3476
Степен на доказаност B+

Етилен винил ацетат Glucose 5% 2,5 mg/ml 25°C Не е уточнено
14 Ден
3476
Степен на доказаност B+


  Mentions Légales