Dernière mise à jour :
27/01/2026
Immunosuppresseur   Ciclosporin  
injectable
Collyre Forme dermique Solution buvable
Stabilité des solutions Stabilité en mélange Facteur influençant la stabilité Compatibilités Voie d’administration Bibliographie pdf
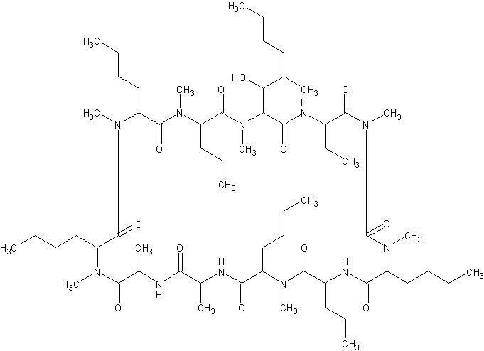
   Structure chimique  

Noms commerciaux   Noms commerciaux     

Les noms commerciaux sont donnés à titre indicatif et la composition en excipients peut être différente selon les pays et selon les laboratoires

Cyclosporine Canada, Etats Unis d’Amérique
Graftin Inde
Sandimmum Allemagne, Arabie Saoudite, Argentine, Australie, Autriche, Belgique, Chili, Colombie, Danemark, Emirats Arabes Unis , Espagne, Finlande, Grande Bretagne, Grèce, Hongrie, Iran, Irlande, Islande, Italie, Luxembourg, Malaisie, Maroc, Mexique, Norvège, Nouvelle Zélande, Pérou, Pologne, Portugal, Suède, Suisse, Tunisie, Turquie
Stabilité des solutions   injectable   Stabilité des solutions : Ciclosporin     
Contenant Solvant Concentration Température Conservation Durée de stabilité Bibliographie
Verre Chlorure de sodium 0,9% 2 mg/ml 24°C Avec ou sans lumière
12 Heure
454
Niveau de preuve D

Verre Glucose 5% 2 mg/ml 24°C Lumière
48 Heure
471
Niveau de preuve D

Verre Glucose 5% 2 mg/ml 24°C Avec ou sans lumière
24 Heure
454
Niveau de preuve D

Verre Glucose 5% 2 mg/ml 6°C A l’abri de la lumière
48 Heure
471
Niveau de preuve D

Polyolefine Chlorure de sodium 0,9% 0,2 mg/ml 23-27°C Non précisée
14 Jour
3229
Niveau de preuve A +

Polyolefine Chlorure de sodium 0,9% 2,5 mg/ml 23-27°C Non précisée
14 Jour
3229
Niveau de preuve A +

Polyolefine Glucose 5% 0,2 mg/ml 23-27°C Non précisée
14 Jour
3229
Niveau de preuve A +

Polyolefine Glucose 5% 2,5 mg/ml 23-27°C Non précisée
14 Jour
3229
Niveau de preuve A +

Ethylène vinyl acétate Chlorure de sodium 0,9% 0,2 mg/ml 25°C Non précisée
7 Jour
3476
Niveau de preuve B +

Ethylène vinyl acétate Chlorure de sodium 0,9% 2,5 mg/ml 25°C Non précisée
14 Jour
3476
Niveau de preuve B +

Ethylène vinyl acétate Glucose 5% 0,2 mg/ml 25°C Non précisée
7 Jour
3476
Niveau de preuve B +

Ethylène vinyl acétate Glucose 5% 2,5 mg/ml 25°C Non précisée
14 Jour
3476
Niveau de preuve B +


  Mentions Légales