Senaste uppdateringen :
27/04/2026
Immunsuppressivum   Ciclosporin  
injektion
ögondroppar Oral lösning Salvor
Lösningars stabilitet Stabilitet i blandningar Faktorer som påverkar stabiliteten Kompatibilitet Administreringssätt Hänvisningar pdf
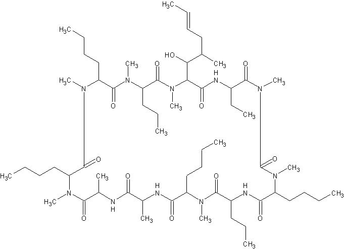
   Molekylstruktur  

Varunamn   Varunamn     

Angivna handelsnamn på läkemedel är enbart vägledande då formulering inklusive hjälpämnen kan variera mellan länder och tillverkare

Cyclosporine Förenta Staterna, Kanada
Graftin Indien
Sandimmum Argentina, Australien, Belgien, Chile, Colombia, Danmark, Finland, Förenade Arabemiraten, Grekland, Iran, Irland, Island, Italien, Luxemburg, Malaysia, Marocko, Mexiko, Norge, nya Zeeland, Österrike, Peru, Polen, Portugal, Saudi-Arabien, Schweiz, Spanien, Storbritannien, Sverige, Tunisien, Turkiet, Tyskland, Ungern
Lösningars stabilitet   injektion   Lösningars stabilitet : Ciclosporin     
Behållare Lösningsmedel Koncentration Temperatur Förvaring Stabilitets varaktighet Hänvisningar
Glas Natriumklorid 0,9 % 2 mg/ml 24°C Med eller utan ljus
12 Timma
454
Evidensnivå D

Glas Glukos 5 % 2 mg/ml 24°C Ljus
48 Timma
471
Evidensnivå D

Glas Glukos 5 % 2 mg/ml 24°C Med eller utan ljus
24 Timma
454
Evidensnivå D

Glas Glukos 5 % 2 mg/ml 6°C Skyddas från ljus
48 Timma
471
Evidensnivå D

Polyolefin Natriumklorid 0,9 % 0,2 mg/ml 23-27°C Ej angiven
14 Dag
3229
Evidensnivå A+

Polyolefin Natriumklorid 0,9 % 2,5 mg/ml 23-27°C Ej angiven
14 Dag
3229
Evidensnivå A+

Polyolefin Glukos 5 % 0,2 mg/ml 23-27°C Ej angiven
14 Dag
3229
Evidensnivå A+

Polyolefin Glukos 5 % 2,5 mg/ml 23-27°C Ej angiven
14 Dag
3229
Evidensnivå A+

Etylenvinylacetat Natriumklorid 0,9 % 0,2 mg/ml 25°C Ej angiven
7 Dag
3476
Evidensnivå B+

Etylenvinylacetat Natriumklorid 0,9 % 2,5 mg/ml 25°C Ej angiven
14 Dag
3476
Evidensnivå B+

Etylenvinylacetat Glukos 5 % 0,2 mg/ml 25°C Ej angiven
7 Dag
3476
Evidensnivå B+

Etylenvinylacetat Glukos 5 % 2,5 mg/ml 25°C Ej angiven
14 Dag
3476
Evidensnivå B+


  Mentions Légales