Ultimo aggiornamento :
27/04/2026
Immunosoppressore   Ciclosporin  
Iniezione
Collirio Soluzione orale Unguenti
Stabilità in soluzione Stabilità in miscela Fattori che influenzano la stabilità Compatibilità metodo di iniezione Bibliografia pdf
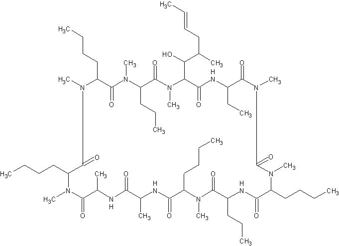
   Struttura chimica  

Nome commerciale   Nome commerciale     

Trade names are indicative and excipients composition can be different depending on the country and manufacturers

Cyclosporine Canada, Stati Uniti d’America
Graftin India
Sandimmum Arabia Saudita, Argentina, Australia, Austria, Belgio, Chile, Colombia, Danimarca, Emirati Arabi Uniti, Finlandia, Germania, Gran Bretagna, Grecia, Iran, Irlanda, Islanda, Italia, Lussemburgo, Malaysia, Marocco, Messico, Norvegia, nuova Zelanda, Perù, Polonia, Portogallo, Spagna, Svezia, Svizzera, Tunisia, Turchia, Ungheria
Stabilità in soluzione   Iniezione   Stabilità in soluzione : Ciclosporin     
contenitore Solvente Concentrazione Temperatura Conservazione Durata della stabilità Bibliografia
Vetro Cloruro di sodio 0,9% 2 mg/ml 24°C Con o senza luce
12 Ora
454
Livello di evidenza D

Vetro Glucosio 5% 2 mg/ml 24°C Luce
48 Ora
471
Livello di evidenza D

Vetro Glucosio 5% 2 mg/ml 24°C Con o senza luce
24 Ora
454
Livello di evidenza D

Vetro Glucosio 5% 2 mg/ml 6°C Al riparo dalla luce
48 Ora
471
Livello di evidenza D

Poliolefina Cloruro di sodio 0,9% 0,2 mg/ml 23-27°C Non precisata
14 Giorno
3229
Livello di evidenza A+

Poliolefina Cloruro di sodio 0,9% 2,5 mg/ml 23-27°C Non precisata
14 Giorno
3229
Livello di evidenza A+

Poliolefina Glucosio 5% 0,2 mg/ml 23-27°C Non precisata
14 Giorno
3229
Livello di evidenza A+

Poliolefina Glucosio 5% 2,5 mg/ml 23-27°C Non precisata
14 Giorno
3229
Livello di evidenza A+

Etilene vinilacetato Cloruro di sodio 0,9% 0,2 mg/ml 25°C Non precisata
7 Giorno
3476
Livello di evidenza B+

Etilene vinilacetato Cloruro di sodio 0,9% 2,5 mg/ml 25°C Non precisata
14 Giorno
3476
Livello di evidenza B+

Etilene vinilacetato Glucosio 5% 0,2 mg/ml 25°C Non precisata
7 Giorno
3476
Livello di evidenza B+

Etilene vinilacetato Glucosio 5% 2,5 mg/ml 25°C Non precisata
14 Giorno
3476
Livello di evidenza B+


  Mentions Légales